Соответствие размеров шин и дисков на легковых авто
Вопрос подбора шины к дискам всегда был актуальным для автолюбителей, так как каждому уважающему себя водителю необходимо знать определенные параметры. При незнании характеристик и неследовании данным параметрам, автомобиль ждет существенное ухудшение эксплуатационных свойств, что серьезно угрожает безопасности.
Чтобы максимально точно подобрать резину к дискам, следует предварительно изучить маркировку дисков:
Маркировка диска с размерными показателями R13 4×98 ET35 J5 D58.6
Именно последний имеет главную роль в подборе соответствия шины и дисков. Для того, чтобы правильно выбрать диски под шины на легковые авто, Вы можете воспользоваться таблицей, составленной специалистами компании Автошины Ком. Или можете воспользоваться подбором дисков по автомобилю, перейдя по ссылке.
Таблица соответствия шин и дисков
| Для легковых автомобилей | ||||
| Диаметр диска | Размер шины | Ширина обода диска (в дюймах) | ||
| Минимальная | Рекомендуемая | Максимальная | ||
| Ширина профиля 80 | ||||
| 13″ | 135/80R13 | 3,5 | 3,5 | 4,5 |
| 145/80R13 | 3,5 | 4 | 5 | |
| 155/80R13 | 3 | 4,5 | 5 | |
| 165/80R13 | 4 | 4,5 | 5,5 | |
| 165R13 | 4,5 | 5 | 6 | |
| 14″ | 175/80R14 | 4,5 | 5 | 6 |
| 185/80R14 | 4,5 | 5 | 6 | |
| Ширина профиля 70 | ||||
| 13″ | 135/70R13 | 3,5 | 4 | 4,5 |
| 145/70R13 | 3,5 | 4,5 | 5 | |
| 155/70R13 | 4 | 4,5 | 5 | |
| 165/70R13 | 4 | 5 | 5,5 | |
| 175/70R13 | 4,5 | 5 | 6 | |
| 185/70R13 | 4,5 | 5,5 | 6 | |
| 14″ | 165/70R14 | 4 | 5 | 5,5 |
| 175/70R14 | 4,5 | 5 | 6 | |
| 185/70R14 | 4,5 | 5,5 | 6 | |
| 195/70R14 | 5 | 6 | 6,5 | |
| Ширина профиля 65 | ||||
| 13″ | 155/65R13 | 4,5 | 4,5 | 5,5 |
| 165/65R13 | 4,5 | 5 | 6 | |
| 175/65R13 | 5 | 5 | 6 | |
| 14″ | 155/65R14 | 4,5 | 4,5 | 5,5 |
| 165/65R14 | 4,5 | 5 | 6 | |
| 175/65R14 | 5 | 5 | 6 | |
| 185/65R14 | 5 | 5,5 | 6,5 | |
| 195/65R14 | 5,5 | 6 | 7 | |
| 15″ | 145/65R15 | 4 | 4,5 | 5 |
| 155/65R15 | 4,5 | 4,5 | 5 | |
| 165/65R15 | 4,5 | 5 | 6 | |
| 175/65R15 | 5 | 5 | 6 | |
| 185/65R15 | 5 | 5,5 | 6,5 | |
| 195/65R15 | 5,5 | 6 | 7 | |
| 205/65R15 | 5,5 | 6 | 7,5 | |
| 215/65R15 | 6 | 6,5 | 7,5 | |
| 16″ | 215/65R16 | 6 | 6,5 | 7,5 |
| 17″ | 235/65R17 | 6,5 | 7 | 8,5 |
| 18″ | 235/65R18 | 6,5 | 7 | 8,5 |
| Ширина профиля 60 | ||||
| 14″ | 165/60R14 | 4,5 | 5 | 6 |
| 175/60R14 | 5 | 5 | 6 | |
| 185/60R14 | 5 | 5,5 | 6,5 | |
| 195/60R14 | 5,5 | 6 | 7 | |
| 15″ | 175/60R15 | 5 | 5 | 6 |
| 185/60R15 | 5 | 5,5 | 6,5 | |
| 195/60R15 | 5,5 | 6 | 7 | |
| 205/60R15 | 5,5 | 6 | 7,5 | |
| 225/60R15 | 6 | 6,5 | 8 | |
| 16″ | 205/60R16 | 5,5 | 6 | 7,5 |
| 215/60R16 | 6 | 6,5 | 7,5 | |
| 225/60R16 | 6 | 6,5 | 8 | |
| 235/60R16 | 6,5 | 7 | 8,5 | |
| 17″ | 225/60R17 | 6 | 6,5 | 8 |
| Ширина профиля 55 | ||||
| 14″ | 185/55R14 | 5 | 6 | 6,5 |
| 15″ | 175/55R15 | 5 | 5,5 | 6 |
| 185/55R15 | 5 | 6 | 6,5 | |
| 195/55R15 | 5,5 | 6 | 7 | |
| 205/55R15 | 5,5 | 6,5 | 7,5 | |
| 225/55R15 | 7 | 8 | ||
| 16″ | 195/55R16 | 5,5 | 6 | 7 |
| 205/55R16 | 5,5 | 6,5 | 7,5 | |
| 215/55R16 | 6 | 7 | 7,5 | |
| 225/55R16 | 6 | 7 | 8 | |
| 245/55R16 | 7 | 7,5 | 8,5 | |
| 17″ | 205/55R17 | 5,5 | 6,5 | 7,5 |
| 215/55R17 | 6 | 7 | 7,5 | |
| 225/55R17 | 6 | 7 | 8 | |
| 235/55R17 | 6,5 | 7,5 | 8,5 | |
| 245/55R17 | 7 | 7,5 | 8,5 | |
| 255/55R17 | 7 | 8 | 9 | |
| Ширина профиля 50 | ||||
| 15″ | 195/50R15 | 5,5 | 6 | 7 |
| 205/50R15 | 5,5 | 6,5 | 7,5 | |
| 225/50R15 | 6 | 7 | 8 | |
| 16″ | 185/50R16 | 5 | 6 | 6,5 |
| 195/50R16 | 5,5 | 6 | 7 | |
| 205/50R16 | 5,5 | 6,5 | 7,5 | |
| 215/50R16 | 6 | 7 | 7,5 | |
| 225/50R16 | 6 | 7 | 8 | |
| 235/50R16 | 6,5 | 7,5 | 8,5 | |
| 245/50R16 | 7 | 7,5 | 8,5 | |
| 255/50R16 | 7 | 8 | 9 | |
| 17″ | 205/50R17 | 5,5 | 6,5 | 7,5 |
| 215/50R17 | 6 | 7 | 7,5 | |
| 225/50R17 | 6 | 7 | 8 | |
| 235/50R17 | 6,5 | 7,5 | 8,5 | |
| 18″ | 235/50R18 | 6,5 | 7,5 | 8,5 |
| 245/50R18 | 7 | 7,5 | 8,5 | |
| 19″ | 275/50R19 | 7,5 | 8,5 | 9,5 |
| Ширина профиля 45 | ||||
| 15″ | 195/45R15 | 6 | 6,5 | 7,5 |
| 16″ | 195/45R16 | 6 | 6,5 | 7,5 |
| 205/45R16 | 6,5 | 7 | 7,5 | |
| 215/45R16 | 7 | 7 | 8 | |
| 225/45R16 | 7 | 7,5 | 8,5 | |
| 245/45R16 | 7,5 | 8 | 9 | |
| 17″ | 205/45R17 | 6,5 | 7 | 7,5 |
| 215/45R17 | 7 | 7 | 8 | |
| 225/45R17 | 7 | 7,5 | 8,5 | |
| 235/45R17 | 7,5 | 8 | 9 | |
| 245/45R17 | 7,5 | 8 | 9 | |
| 255/45R17 | 8 | 8,5 | 9,5 | |
| 18″ | 215/45R18 | 7 | 7 | 8 |
| 225/45R18 | 7 | 7,5 | 8,5 | |
| 235/45R18 | 7,5 | 8 | 9 | |
| 245/45R18 | 7,5 | 8 | 9 | |
| 255/45R18 | 8 | 8,5 | 9,5 | |
| 275/45R18 | 8,5 | 9 | 10,5 | |
| 19″ | 245/45R19 | 7,5 | 8 | 9 |
| 20″ | 275/45R20 | 8,5 | 9 | 10,5 |
| Ширина профиля 40 | ||||
| 16″ | 215/40R16 | 7 | 7,5 | 8,5 |
| 17″ | 205/40R17 | 7 | 7,5 | 8 |
| 215/40R17 | 7 | 7,5 | 8,5 | |
| 235/40R17 | 8 | 8,5 | 9,5 | |
| 245/40R17 | 8 | 8,5 | 9,5 | |
| 255/40R17 | 8,5 | 9 | 10 | |
| 265/40R17 | 9 | 9,5 | 10,5 | |
| 275/40R17 | 9 | 9,5 | 11 | |
| 285/40R17 | 9 | 10 | 11 | |
| 18″ | 205/40R18 | 7 | 7,5 | 8 |
| 225/40R18 | 7,5 | 8 | 9 | |
| 235/40R18 | 8 | 8,5 | 9,5 | |
| 245/40R18 | 8 | 8,5 | 9,5 | |
| 255/40R18 | 8,5 | 9 | 10 | |
| 265/40R18 | 9 | 9,5 | 10,5 | |
| 275/40R18 | 9 | 9,5 | 11 | |
| 285/40R18 | 9,5 | 10 | 11 | |
| 19″ | 225/40R19 | 7,5 | 8 | 9 |
| 245/40R19 | 8 | 8,5 | 9,5 | |
| 255/40R19 | 8,5 | 9 | 10 | |
| 275/40R19 | 9 | 9,5 | 11 | |
| 20″ | 245/40R20 | 8 | 8,5 | 9,5 |
| Ширина профиля 35 | ||||
| 17″ | 225/35R17 | 7,5 | 8 | 9 |
| 265/35R17 | 9 | 9,5 | 10,5 | |
| 335/35R17 | 11 | 12 | 13 | |
| 18″ | 215/35R18 | 7 | 7,5 | 8,5 |
| 225/35R18 | 7,5 | 8 | 9 | |
| 235/35R18 | 8 | 8,5 | 9,5 | |
| 255/35R18 | 8,5 | 9 | 10 | |
| 265/35R18 | 9 | 9,5 | 10,5 | |
| 275/35R18 | 9 | 9,5 | 11 | |
| 285/35R18 | 9,5 | 10 | 11 | |
| 295/35R18 | 10 | 10,5 | 11,5 | |
| 345/35R18 | 11,5 | 12 | 13,5 | |
| 19″ | 225/35R19 | 7,5 | 8 | 9 |
| 235/35R19 | 8 | 8,5 | 9,5 | |
| 245/35R19 | 8 | 8,5 | 9,5 | |
| 255/35R19 | 8,5 | 9 | 10 | |
| 265/35R19 | 9 | 9,5 | 10,5 | |
| 275/35R19 | 9 | 9,5 | 11 | |
| 285/35R19 | 9,5 | 10 | 11 | |
| 295/35R19 | 10 | 10,5 | 11,5 | |
| 20″ | 245/35R20 | 8 | 8,5 | 9,5 |
| 255/35R20 | 8,5 | 9 | 10 | |
| 275/35R20 | 9 | 9,5 | 11 | |
| 21″ | 245/35R21 | 8 | 8,5 | 9,5 |
| 255/35R21 | 8,5 | 9 | 10 | |
| Ширина профиля 30 | ||||
| 18″ | 285/30R18 | 9,5 | 10 | 10,5 |
| 295/30R18 | 10 | 10,5 | 11 | |
| 315/30R18 | 10,5 | 11 | 11,5 | |
| 335/30R18 | 11,5 | 12 | 12,5 | |
| 345/30R18 | 11,5 | 12 | 12,5 | |
| 19″ | 265/30R19 | 9 | 9,5 | 10 |
| 275/30R19 | 9 | 9,5 | 10 | |
| 285/30R19 | 9,5 | 10 | 10,5 | |
| 295/30R19 | 10 | 10,5 | 11 | |
| 305/30R19 | 10,5 | 11 | 11,5 | |
| 345/30R19 | 11,5 | 12 | 12,5 | |
| 20″ | 235/30R20 | 8,5 | 8,5 | 9,5 |
| 245/30R20 | 8,5 | 8,5 | 9,5 | |
| 255/30R20 | 9 | 9 | 10 | |
| 285/30R20 | 10 | 10 | 11 | |
| 335/30R20 | 12 | 12 | 13 | |
| 21″ | 255/30R21 | 9 | 9 | 10 |
| 285/30R21 | 10 | 10 | 11 | |
| 295/30R21 | 10 | 10,5 | 11 | |
| 22″ | 255/30R22 | 9 | 9 | 10 |
| Ширина профиля 25 | ||||
| 19″ | 315/25R19 | 11 | 11,5 | 12 |
| 20″ | 285/25R20 | 10,5 | ||
| 295/25R20 | 10 | 10,5 | 11 | |
| 325/25R20 | 11,5 | 12 | 12,5 | |
| 21″ | 295/25R21 | 10 | 10,5 | 11 |
| 22″ | 295/25R22 | 10 | 10,5 | 11 |
Как подобрать шины к диску — Полезные статьи на сайте компании
Соответствие ширины диска и шины — это очень важное требование, от соблюдения которого зависит не только комфорт, но и безопасность поездок.
Поэтому каждый автолюбитель обязан знать правила этого соответствия и уметь выполнить подбор дисков по шине. Но сначала необходимо разобраться с геометрическими параметрами и правилами их отображения в маркировке колес и шин.
Расшифровка маркировки
С основными геометрическими параметрами автомобильных шин и колес стоит познакомиться на практическом примере. Поэтому давайте расшифруем параметры автошины 185/65 R13 и диска R13 4×98 ET35 J5 D58.6.Самыми главными параметрами резины внедорожника или легкового авто будут:
- ширина профиля — 185 мм;
- высота профиля — 65% от 185 мм;
- посадочный диаметр (радиальность) — 13 дюймов.
В маркировке колеса скрыты следующие параметры и размеры:
- диаметр по ободу R13 — 13 дюймов;
- количество и диаметр крепежных отверстий 4×98 — 4 штуки и 98 мм;
- вылет обода ET35 — 35 миллиметров;
- посадочная ширина по ободу J5 — 5 дюймов;
- габариты отверстия под ступицу D58.
6 — 58,6 миллиметра.
Совместимость покрышек и колес оценивается только по двум параметрам: во-первых, ее принято определять по значению ширины, во-вторых, по показателям радиальности и диаметра по ободу. Это правило действует и на внедорожники, и на легковые авто.
Основные правила соответствия размеров
Соответствие некоторых размеров просматривается даже в рассматриваемой выше маркировке — R13 4×98 ET35 J5 D58.6 и 185/65 R13. Скажем сразу, мы выбрали эти обозначения не просто так. Ведь при подборе обода по посадочному диаметру автошины должна наблюдаться прямая зависимость размеров. По сути, вам и не нужно ничего подбирать — эти параметры должны соответствовать друг другу. Поэтому, перед тем как подобрать диск, обязательно померяйте или вычислите с помощью маркировки покрышки показатель радиальности.
Проще говоря, цифры после буквы R в маркировке покрышки и колеса не могут отличаться. Именно так выглядит первое правило соответствия.
Вторым правилом зависимости размеров является требование относительно совместимости значения ширины профиля и обода. Запомните: колесо может быть меньше покрышки на 25%. Такое соотношение обода и ширины шины объясняется высокой эластичностью резины — при разнице в 25% покрышка сядет на колесо плотнее, чем при прямой зависимости.
Однако рекомендованная ширина диска измеряется в дюймах (J5), поэтому перед сравнением этого показателя с шиной, мы должны перевести его в миллиметры, умножив на коэффициент 25,4 (столько миллиметров содержится в дюймах).
Популярные модели шин
Как сделать правильный выбор — пошаговая инструкция
- Подбор начинается с проверки диаметра. Для этого вам не нужно заглядывать в таблицы — просто прочитайте следующую за буквой «R» цифру. Если эти цифры в маркировке колеса и шины совпадают — они соответствуют друг другу. У 185/65 R13 и R13 4×98 ET35 J5 D58.
6 эти параметры подбора абсолютно идентичны. - После этого можно переходить к переводу габаритов колеса из дюймов в миллиметры. Для этого следует умножить на 25 следующую за буквой «J» цифру. Рекомендованным коэффициентом перевода дюймов в миллиметры в данном случае можно пренебречь. В итоге, J5 переводится в 125 миллиметров.
- Чтобы определить по размеру ширины соответствие обода и покрышки, мы должны обратиться к таблице или уменьшить на 25% первую цифру в маркировке автошины. В нашем случае — это 185 мм, которые переводятся в 138,75 мм (185/0,75). Однако этот размер можно отнести к рекомендованным значениям. На практике принято определять габариты с учетом допуска на полдюйма (±12,7 мм). В итоге, размер 138,75 мм можно трансформировать и в 150 мм (J6), и в 126 мм (J5).
Эта инструкция распространяется на все типы транспорта. По ней можно подбирать диски для внедорожников, легковых и грузовых авто. Ну а если вам лень переводить дюймы в миллиметры — к вам на помощь придет таблица соотношения размеров резины и обода.
Впрочем, таблица подбора дисков по высоте тоже требует некоторых умственных усилий, да и составлена она очень запутанно. Поэтому новички и опытные водители предпочитают подбирать параметры по калькулятору совместимости. Такие программы можно скачать в интернете или установить на смартфон, воспользовавшись магазинами приложений Google Play или App Store.
— Читайте также у нас на сайте: 3 мифа про проставки для дисков Размеры шин. Параметры колесных дисков Заправка автокондиционеров |
||||
соответствие ширины покрышки и ширины диска
Каждая автомобильная покрышка имеет определённую размерность, в которой отображаются все необходимые параметры, такие как ширина шины, её высота (профиль), максимальна нагрузка, скорость, а так же радиус диска, на который она может быть смонтирована.
Например, самая распространённая размерность покрышки 195/65/R15 обозначает ширину – 195мм, высоту 65% от ширины (127мм) и радиус диска 15 дюймов (381мм).
Из этой статьи вы узнаете:
Ширина профиля и ширина диска
Каждая покрышка предназначена для эксплуатации в паре с диском определённого размера.
Если с диаметром шины всё более-менее ясно – покрышку невозможно смонтировать на диск другого диаметра – то с шириной всё иначе – требуется знать определённые допуски, с которыми можно монтировать покрышку на диск.
Ниже представлена таблица соответствия монтажных размеров ширины шин и ширины дисков, на которые могут быть смонтированы эти покрышки.
Разумеется, вполне возможно смонтировать широкую покрышку на узкий диск, или узкую покрышку на широкий диск – мягкость резины позволяет растягивать или сжимать боковины покрышки в широком диапазоне.
Однако нужно знать, что такая покрышка проедет недолго – при первой же сложной дорожной ситуации она самостоятельно отделится от диска, что чревато очень серьёзными последствиями для автомобиля и всех кто окажется рядом.
Влияние ширины на поведение автомобиля
Первое, что нужно знать автовладельцу, решившему поставить на свой автомобиль покрышки, не предусмотренные заводом-производителем — это что каждый современный автомобиль рассчитывается для езды на шинах строго определённого размера.
Именно под этот размер покрышек настраивается подвеска автомобиля и всё электронное оборудование — начиная от спидометра и заканчивая самыми современными системами стабилизации.
Если же владелец предпочитает заменить установленные на заводе покрышки на шины другого размера – в этом случае весь риск возможной некорректной работы электронных систем автомобиля он берёт на себя.
Второе, что необходимо знать автовладельцу – это что ширина шины влияет на устойчивость автомобиля в движении. Чем шире покрышки, установленные на машину – тем более устойчив автомобиль при манёврах НА РОВНОЙ ДОРОГЕ!
У широких покрышек есть очень опасная «обратная сторона медали» – они очень неустойчивы при движении по асфальтовой колее, которая часто встречается на Российских дорогах.
При попадании в такую колею широкая резина начинает сильнее «цепляться» за стенки колеи, автомобиль начинает «рыскать», и может даже сбиться с траектории движения и вылететь в сторону.
Чем выше скорость движения – тем опаснее подобная ситуация, владельцу автомобиля на широких покрышках требуется постоянно быть готовым к подобным явлениям.
Третье, что необходимо знать автовладельцу – это что широкая резина заметно увеличивает расход топлива.
Пятно контакта шины с дорогой становится больше – потери на трение увеличиваются — растёт расход топлива.
Чем больше масса автомобиля – тем больше увеличение расхода топлива, по сравнению со стандартными шинами.
Справедливо и обратное — чем Уже покрышки — тем меньше топлива будет потреблять автомобиль — недаром все экономичные автомобили имеют очень узкие покрышки, имеющие низкое сопротивление качению.
Разумеется, в реальной жизни размеры покрышек одной и той же размерности, но различных производителей, могут немного отличаться друг от друга на несколько миллиметров или даже сантиметров.
Как правило, разработчики автомобилей предусматривают такие отличия в размерах шин и закладывают определённый допуск на эксплуатацию шин чуть другого размера. Но, как правило, этот допуск достаточно мал.
Безопасность
Ширина шин, на которых ездит автомобиль — достаточно важный параметр, и от него напрямую зависит безопасность движения.
Не стоит увлекаться чрезмерным увеличением или уменьшением ширины автомобильных покрышек — безопаснее всего ездить на шинах предусмотренного заводом размера, или близкого к нему.
Соответствие шин и дисков
Чтобы правильно подобрать шины к дискам надо знать определенные параметры, не соблюдение которых серьезно ухудшит поведение автомобиля на дороге. Поскольку шина одевается на обод диска, то ширина профиля должна быть соразмерна с ним. Сразу отметим, что, несмотря на распространенный в последние годы тюнинг, автопроизводители это категорически не рекомендуют. Ведь если размеры дисков и шин будут сильно разниться, то пятно контакта будет не ровным, а значит, управление может выйти из под контроля.
Вообще вопрос о соответствие шин и дисков можно рассматривать с двух сторон. Первое – это подбор шин и дисков исходя из рекомендаций производителя, а второе – этот фитмент. Фитмент – это изучение посадки шины на диске и положение колес относительно колесных арок, что включает в себя отрицательный развал, низкую посадку и другие изыски, о которых мы говорить не будем, поскольку считаем более важным рассказать, как правильно с точки зрения безопасности и комфортности подобрать шины к дискам.
Чтобы правильно подобрать шины к дискам, необходимо знать маркировку дисков.
Маркировка колесного диска R13 4×98 ET35 J5 D58.6
1. ЕТ35 — вылет. Расстояние от привалочной плоскости до центра диска (в мм.). 2. R13 — диаметр обода колеса в дюймах. 3. D58.6 — диаметр центрального отверстия под ступицу (в мм.). 4. 4х98 — количество крепежных отверстий и диаметр центров отверстий под болты (в мм.). 5. J5 — ширина обода в дюймах (дюйм равен 25,4мм.) |
В идеале, то есть, чтобы быть уверенным в безопасности, PCD диска (диаметр окружности центров крепёжных отверстий) изменять нельзя.
В крайнем случае размеры дисков и шин могут совсем немного не соответствовать друг другу, но тогда для крепления используются болты с эксцентриками, которые позволяют установить диски с PCD 100 мм на автомобили с PCD 98мм. Однако, стоит отметить, что максимальная разница в смещении не должна превышать 2 мм., а в идеале все же соответствие шин и дисков должно быть стопроцентным.
Размеры дисков и шин должны совпадать также и своим центральным отверстием, но, если по определенным причинам это не возможно, на помощь придет кольцо установочное (оно же кольцо проставочное). Кольцо установочное имеет внешний диаметр равный диаметру отверстия в диске, а внутренний диаметр соответствует диаметру ступицы автомобиля. Если кольцо установочное поставить верно, то ходовые характеристики не изменяться. При этом стоит отметить, что диски штампованные установочные кольца не имеют. Устанавливают их только на литые диски.
В маркировке дисков не указывается максимальная нагрузка (MAX LOAD), узнать это параметр можно либо в паспорте, который прилагают некоторые производители отечественных колес на свою продукцию, либо искать эту информацию на сайте производителя дисков.
Эта информация не является очень важной, поскольку производители обычно изготавливают диски с запасом прочности. Но, если вы по каким-то причинам решили поставить, скажем, на джип диски для легкового автомобиля, то максимальная нагрузка диска будет важным параметром. И если его не учитывать, колесо может не выдержать нагрузки и деформироваться, попав даже в небольшую яму.
Кроме того, даже если размеры шин и дисков будут совпадать по всем параметрам, все равно есть риск, что диск не встанет на автомобиль. Причина этому так называемый Х-фактор, когда диск упирается в детали подвески или суппорт, что связано с формой выштамповки или литья. Поэтому мы рекомендуем перед бортировкой шины на колесо сначала примерить его.
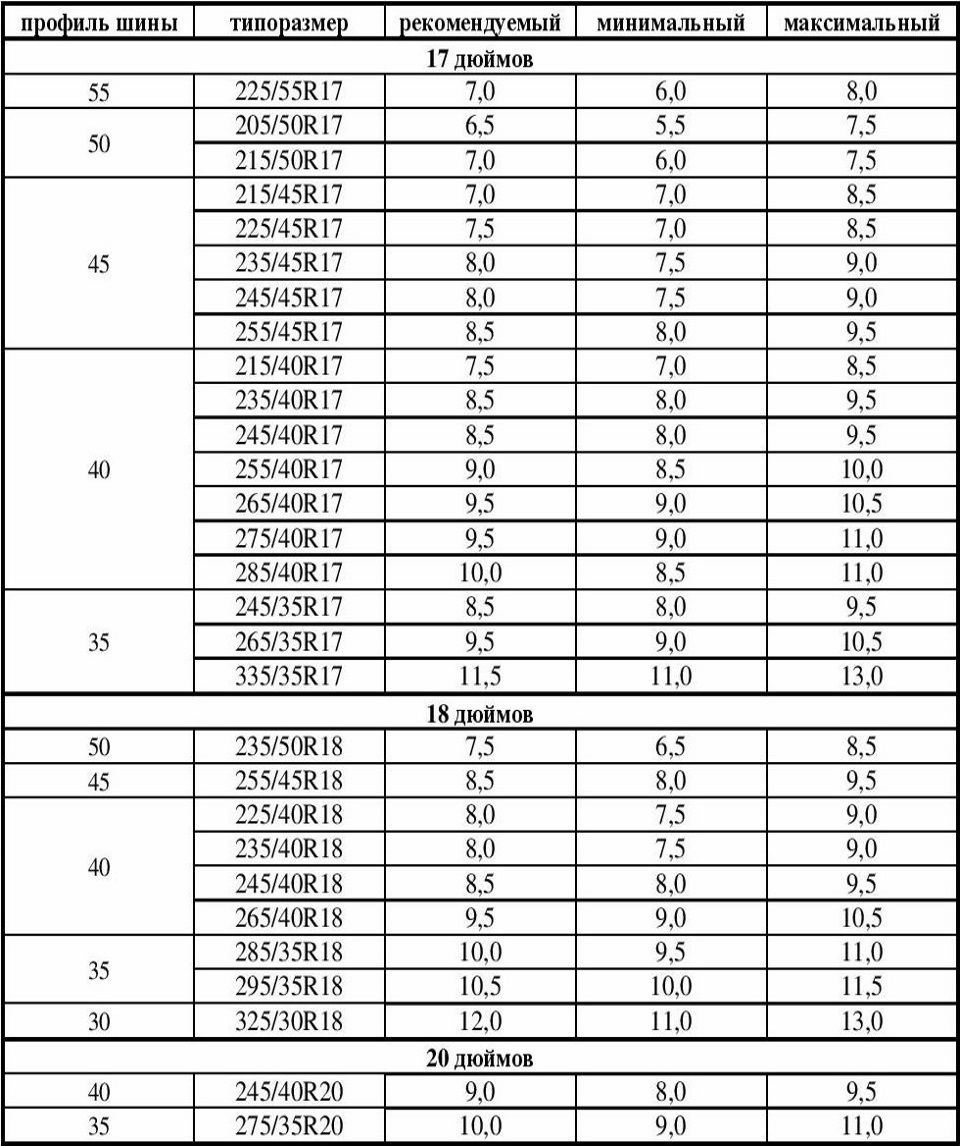
Таблица соответствия по ширине шин и дисков
Высота шины | Типоразмер шины | Ширина диска (в дюймах) Рекоменд. | ||
R12 | ||||
82 | 125R12 | 3,5 | 3.0 | 4.0 |
70 | 145/70R12 | 4,5 | 4. | 5.0 |
R13 | ||||
82 | 145R13 | 4.0 | 3,5 | 5.0 |
80 | 135/80R13 | 3,5 | 3,5 | 4,5 |
70 | 135/70R13 | 4.0 | 3,5 | 4,5 |
65 | 155/65R13 | 4,5 | 4,0 | 5,5 |
60 | 175/60R13 | 5. | 5.0 | 6.0 |
55 | 195/55R13 | 6,0 | 5,5 | 7,0 |
R14 | ||||
82 | 145R14 | 4,0 | 3,5 | 5,0 |
80 | 175/80R14 | 5,0 | 4,5 | 5,5 |
70 | 165/70R14 | 5,0 | 4,5 | 6,0 |
65 | 155/65R14 | 4,5 | 4,0 | 5,5 |
60 | 165/60R14 | 5,0 | 4,5 | 6,0 |
55 | 185/55R14 | 6,0 | 5,0 | 6,5 |
R15 | ||||
82 | 125R15 | 3,5 | 3,0 | 4,0 |
80 | 185/80R15 | 5,5 | 4,5 | 6,0 |
70 | 175/70R15 | 5,0 | 5,0 | 6,0 |
65 | 185/65R15 | 5,5 | 5. | 6,5 |
60 | 195/60R15 | 6,0 | 5,5 | 7,0 |
55 | 185/55R15 | 6,0 | 5,0 | 6,5 |
50 | 195/50R15 | 6,0 | 5,5 | 7,0 |
45 | 195/45R15 | 6,5 | 6,0 | 7,5 |
R16 | ||||
65 | 215/65R16 | 6,5 | 5,5 | 7,5 |
60 | 225/60R16 | 6,5 | 6,0 | 8,0 |
55 | 205/55R16 | 6,5 | 5,5 | 7,5 |
50 | 205/50R16 | 6,5 | 5,5 | 7,5 |
45 | 195/45R16 | 6,5 | 6,0 | 7,5 |
40 | 215/40R16 | 7,5 | 7,0 | 8,5 |
R17 | ||||
55 | 225/55R17 | 7,0 | 6,0 | 8,0 |
50 | 205/50R17 | 6,5 | 5,5 | 7,5 |
45 | 215/45R17 | 7,0 | 7,0 | 8,5 |
40 | 215/40R17 | 7,5 | 7,0 | 8,5 |
35 | 245/35R17 | 8,5 | 8,0 | 9,5 |
R18 | ||||
50 | 235/50R18 | 7,5 | 6,5 | 8,5 |
45 | 255/45R18 | 8,5 | 8,0 | 9,5 |
40 | 225/40R18 | 8,0 | 7,5 | 9,0 |
35 | 285/35R18 | 10,0 | 9,5 | 11,0 |
30 | 325/30R18 | 12,0 | 11,0 | 13,0 |
R20 | ||||
40 | 245/40R20 | 9,0 | 8,0 | 9,5 |
35 | 275/35R20 | 10,0 | 9,0 | 11,0 |
Таблица соответствия ширины диска ширине шины (соответствие ширины шины ширине обода колеса).
Статьи компании «ЧП «Капитан» Таблица соответствия ширины диска ширине шины (соответствие ширины шины ширине обода колеса)| Серия | Типоразмер шины | Ширина диска, дюймы | ||
| Рекоменд. | Мин. | Макс. | ||
| 12 дюймов | ||||
| 82 | 125R12 | 3,5 | 3.0 | 4.0 |
| 135R12 | 4.0 | 3,5 | 4,5 | |
| 145R12 | 4.0 | 3,5 | 5.0 | |
| 155R12 | 4,5 | 4.0 | 5.0 | |
| 70 | 145/70R12 | 4,5 | 4.0 | 5.0 |
| 155/70R12 | 4,5 | 4.0 | 5,5 | |
| 13 дюймов | ||||
| 82 | 145R13 | 4.0 | 3,5 | 5.0 |
| 155R13 | 4,5 | 4.0 | 5,5 | |
| 165R13 | 4,5 | 4. 0 | 5,5 | |
| 175R13 | 5.0 | 4,5 | 6.0 | |
| 80 | 135/80R13 | 3,5 | 3,5 | 4,5 |
| 145/80R13 | 4.0 | 3,5 | 5 | |
| 155/80R13 | 4,5 | 4.0 | 5,5 | |
| 165/80R13 | 4,5 | 4.0 | 5,5 | |
| 70 | 135/70R13 | 4.0 | 3,5 | 4,5 |
| 145/70R13 | 4,5 | 4 | 5 | |
| 155/70R13 | 4,5 | 4.0 | 5,5 | |
| 165/70R13 | 5.0 | 4,5 | 6.0 | |
| 175/70R13 | 5.0 | 5.0 | 6.0 | |
| 185/70R13 | 5,5 | 5 | 6,5 | |
| 195/70R13 | 6 | 5,2 | 7 | |
| 65 | 155/65R13 | 4,5 | 4 | 5,5 |
| 165/65R13 | 5 | 4,5 | 6 | |
| 175/65R13 | 5 | 5 | 6 | |
| 60 | 175/60R13 | 5. 0 | 5.0 | 6.0 |
| 185/60R13 | 5,5 | 5,5 | 6,5 | |
| 205/60R13 | 6 | 5,5 | 7,5 | |
| 55 | 195/55R13 | 6 | 5,5 | 7 |
| 14 дюймов | ||||
| 82 | 145R14 | 4 | 3,5 | 5 |
| 155R14 | 4,5 | 4 | 5 | |
| 165R14 | 4,5 | 4 | 5,5 | |
| 175R14 | 5 | 4,5 | 6 | |
| 185R14 | 5,5 | 4,5 | 6 | |
| 80 | 175/80R14 | 5 | 4,5 | 5,5 |
| 185/80R14 | 5 | 5 | 6 | |
| 70 | 165/70R14 | 5 | 4,5 | 6 |
| 175/70R14 | 5 | 5 | 6 | |
| 185/70R14 | 5,5 | 5 | 6,5 | |
| 195/70R14 | 6 | 5,5 | 7 | |
| 205/70R14 | 6 | 5,5 | 7,5 | |
| 65 | 155/65R14 | 4,5 | 4 | 5,5 |
| 165/65R14 | 5 | 4,5 | 6 | |
| 175/65R14 | 5 | 5 | 6 | |
| 185/65R14 | 5,5 | 5 | 6,5 | |
| 195/65R14 | 6 | 5,5 | 7 | |
| 60 | 165/60R14 | 5 | 4,5 | 6 |
| 175/60R14 | 5 | 5 | 6 | |
| 185/60R14 | 5,5 | 5 | 6,5 | |
| 195/60R14 | 6 | 5,5 | 7 | |
| 205/60R14 | 6 | 5,5 | 7,5 | |
| 55 | 185/55R14 | 6 | 5 | 6,5 |
| 205/55R14 | 6,5 | 5,5 | 7,5 | |
| 15 дюймов | ||||
| 82 | 125R15 | 3,5 | 3 | 4 |
| 135R15 | 4 | 3,5 | 4,5 | |
| 145R15 | 4 | 3,5 | 5 | |
| 155R15 | 4,5 | 4 | 5 | |
| 165R15 | 4,5 | 4 | 5,5 | |
| 185R15 | 5,5 | 4,5 | 6 | |
| 80 | 185/80R15 | 5,5 | 4,5 | 6 |
| 70 | 175/70R15 | 5 | 5 | 6 |
| 195/70R15 | 6 | 5,5 | 7 | |
| 235/70R15 | 7 | 6,5 | 8,5 | |
| 65 | 185/65R15 | 5,5 | 5. 0 | 6,5 |
| 195/65R15 | 6 | 5,5 | 7 | |
| 205/65R15 | 6 | 5,5 | 7,5 | |
| 215/65R15 | 6,5 | 6 | 7,5 | |
| 225/65R15 | 6,5 | 6 | 8 | |
| 60 | 195/60R15 | 6 | 5,5 | 7 |
| 205/60R15 | 6 | 5,5 | 7,5 | |
| 215/60R15 | 6,5 | 6 | 8 | |
| 225/60R15 | 6,5 | 6 | 8 | |
| 55 | 185/55R15 | 6 | 5 | 6,5 |
| 195/55R15 | 6 | 5,5 | 7 | |
| 205/55R15 | 6,5 | 5,5 | 7,5 | |
| 225/55R15 | 7 | 6 | 8 | |
| 50 | 195/50R15 | 6 | 5,5 | 7 |
| 205/50R15 | 6,5 | 5,5 | 7,5 | |
| 225/50R15 | 7 | 6 | 8 | |
| 45 | 195/45R15 | 6,5 | 6 | 7,5 |
| 16 дюймов | ||||
| 65 | 215/65R16 | 6,5 | 5,5 | 7,5 |
| 60 | 225/60R16 | 6,5 | 6 | 8 |
| 235/60R16 | 7 | 6,5 | 8,5 | |
| 55 | 205/55R16 | 6,5 | 5,5 | 7,5 |
| 225/55R16 | 7 | 6 | 8 | |
| 245/55R16 | 7,5 | 7 | 8,5 | |
| 50 | 205/50R16 | 6,5 | 5,5 | 7,5 |
| 225/50R16 | 7 | 6 | 8 | |
| 235/50R16 | 7,5 | 6,5 | 8,5 | |
| 255/50R16 | 8 | 7 | 9 | |
| 45 | 195/45R16 | 6,5 | 6 | 7,5 |
| 205/45R16 | 7 | 6,5 | 7,5 | |
| 225/45R16 | 7,5 | 7 | 8,5 | |
| 245/45R16 | 8 | 7,5 | 9 | |
| 40 | 215/40R16 | 7,5 | 7 | 8,5 |
| 225/40R16 | 8 | 7,5 | 9 | |
| 17 дюймов | ||||
| 55 | 225/55R17 | 7 | 6 | 8 |
| 50 | 205/50R17 | 6,5 | 5,5 | 7,5 |
| 215/50R17 | 7 | 6 | 7,5 | |
| 45 | 215/45R17 | 7 | 7 | 8,5 |
| 225/45R17 | 7,5 | 7 | 8,5 | |
| 235/45R17 | 8 | 7,5 | 9 | |
| 245/45R17 | 8 | 7,5 | 9 | |
| 255/45R17 | 8,5 | 8 | 9,5 | |
| 40 | 215/40R17 | 7,5 | 7 | 8,5 |
| 235/40R17 | 8,5 | 8 | 9,5 | |
| 245/40R17 | 8,5 | 8 | 9,5 | |
| 255/40R17 | 9 | 8,5 | 10 | |
| 265/40R17 | 9,5 | 9 | 10,5 | |
| 275/40R17 | 9,5 | 9 | 11 | |
| 285/40R17 | 10 | 8,5 | 11 | |
| 35 | 245/35R17 | 8,5 | 8 | 9,5 |
| 265/35R17 | 9,5 | 9 | 10,5 | |
| 335/35R17 | 11,5 | 11 | 13 | |
| 18 дюймов | ||||
| 50 | 235/50R18 | 7,5 | 6,5 | 8,5 |
| 45 | 255/45R18 | 8,5 | 8 | 9,5 |
| 40 | 225/40R18 | 8 | 7,5 | 9 |
| 235/40R18 | 8 | 7,5 | 9 | |
| 245/40R18 | 8,5 | 8 | 9,5 | |
| 265/40R18 | 9,5 | 9 | 10,5 | |
| 35 | 285/35R18 | 10 | 9,5 | 11 |
| 295/35R18 | 10,5 | 10 | 11,5 | |
| 30 | 325/30R18 | 12 | 11 | 13 |
| 20 дюймов | ||||
| 40 | 245/40R20 | 9 | 8 | 9,5 |
| 35 | 275/35R20 | 10 | 9 | 11 |
Таблица соответствия ширины шин и дисков » Центр обучения для специалистов с трудоустройством
В данной статье представлена таблица соответствия ширины шин и дисков для распространённых легковых автомобилей.
Таблица требуется для того, чтобы понимать какая ширина шины подойдет для выбранной нами ширины диска. Соответствие ширины диска и шины важны для безопасности авто во время движения.
Посадочный диаметр колесного диска R12
Высота профиля шины | Размер шины | Размер диска (ширина в дюймах) | ||
Рекомендованный | Мин. | Макс. | ||
82 | 125R12 | 3,5 | 3,0 | 4,0 |
135R12 | 4,0 | 3,5 | 4,5 | |
145R12 | 4,0 | 3,5 | 5,0 | |
155R12 | 4,5 | 4,0 | 5,0 | |
70 | 145/70R12 | 4,5 | 4,0 | 5,0 |
155/70R12 | 4,5 | 4,0 | 5,5 | |
Посадочный диаметр колесного диска R13
Высота профиля шины | Размер шины | Размер диска (ширина в дюймах) | ||
Рекомендованный | Мин. | Макс. | ||
82 | 145R13 | 4,0 | 3,5 | 5,0 |
155R13 | 4,5 | 4,0 | 5,5 | |
165R13 | 4,5 | 4,0 | 5,5 | |
175R13 | 5,0 | 4,5 | 6,0 | |
80 | 135/80R13 | 3,5 | 3,5 | 4,5 |
145/80R13 | 4,0 | 3,5 | 5,0 | |
155/80R13 | 4,5 | 4,0 | 5,5 | |
165/80R13 | 4,5 | 4,0 | 5,5 | |
70 | 135/70R13 | 4,0 | 3,5 | 4,5 |
145/70R13 | 4,5 | 4,0 | 5,0 | |
155/70R13 | 4,5 | 4,0 | 5,5 | |
165/70R13 | 5,0 | 4,5 | 6,0 | |
175/70R13 | 5,0 | 5,0 | 6,0 | |
185/70R13 | 5,5 | 5,0 | 6,5 | |
195/70R13 | 6,0 | 5,2 | 7,0 | |
65 | 155/65R13 | 4,5 | 4,0 | 5,5 |
165/65R13 | 5,0 | 4,5 | 6,0 | |
175/65R13 | 5,0 | 5,0 | 6,0 | |
60 | 175/60R13 | 5,0 | 5,0 | 6,0 |
185/60R13 | 5,5 | 5,5 | 6,5 | |
205/60R13 | 6,0 | 5,5 | 7,0 | |
55 | 195/55R13 | 6,0 | 5,5 | 7,0 |
Посадочный диаметр колесного диска R14
Высота профиля шины | Размер шины | Размер диска (ширина в дюймах) | ||
Рекомендованный | Мин. | Макс. | ||
82 | 145R14 | 4,0 | 3,5 | 5,0 |
155R14 | 4,5 | 4,0 | 5,0 | |
165R14 | 4,5 | 4,0 | 5,5 | |
175R14 | 5,0 | 4,5 | 6,0 | |
185R14 | 5,5 | 4,5 | 6,0 | |
80 | 175/80R14 | 5,0 | 4,5 | 5,5 |
185/80R14 | 5,0 | 5,0 | 6,0 | |
70 | 165/70R14 | 5,0 | 4,5 | 6,0 |
175/70R14 | 5,0 | 5,0 | 6,0 | |
185/70R14 | 5,5 | 5,0 | 6,5 | |
195/70R14 | 6,0 | 5,5 | 7,0 | |
205/70R14 | 6,0 | 5,5 | 7,5 | |
65 | 155/65R14 | 4,5 | 4,0 | 5,5 |
165/65R14 | 5,0 | 4,5 | 6,0 | |
175/65R14 | 5,0 | 5,0 | 6,0 | |
185/65R14 | 5,5 | 5,0 | 6,5 | |
195/65R14 | 6,0 | 5,5 | 7,0 | |
60 | 165/60R14 | 5,0 | 4,5 | 6,0 |
175/60R14 | 5,0 | 5,0 | 6,0 | |
185/60R14 | 5,5 | 5,0 | 6,5 | |
195/60R14 | 6,0 | 5,5 | 7,0 | |
205/60R14 | 6,0 | 5,5 | 7,5 | |
55 | 185/55R14 | 6,0 | 5,0 | 6,5 |
205/55R14 | 6,5 | 5,5 | 7,5 | |
Посадочный диаметр колесного диска R15
Высота профиля шины | Размер шины | Размер диска (ширина в дюймах) | ||
Рекомендованный | Мин. | Макс. | ||
82 | 125R15 | 3,5 | 3,0 | 4,0 |
135R15 | 4,0 | 3,5 | 4,5 | |
145R15 | 4,0 | 3,5 | 5,0 | |
155R15 | 4,5 | 4,0 | 5,0 | |
165R15 | 4,5 | 4,0 | 5,5 | |
185R15 | 5,5 | 4,5 | 6,0 | |
80 | 185/80R15 | 5,5 | 4,5 | 6,0 |
70 | 175/70R15 | 5,0 | 5,0 | 6,0 |
195/70R15 | 6,0 | 5,5 | 7,0 | |
235/70R15 | 7,0 | 6,5 | 8,5 | |
65 | 145/65R15 | 4,5 | 4,0 | 5,0 |
155/65R15 | 4,5 | 4,5 | 5,0 | |
165/65R15 | 5,0 | 4,5 | 6,0 | |
175/65R15 | 5,0 | 5,0 | 6,0 | |
185/65R15 | 5,5 | 5,0 | 6,5 | |
195/65R15 | 6,0 | 5,5 | 7,0 | |
205/65 R15 | 6,0 | 5,5 | 7,5 | |
215/65R15 | 6,5 | 6,0 | 7,5 | |
225/65R15 | 6,5 | 6,0 | 8,0 | |
60 | 175/60R15 | 5,0 | 5,0 | 6,0 |
185/60R15 | 5,5 | 5,0 | 6,5 | |
195/60R15 | 6,0 | 5,5 | 7,0 | |
205/60R15 | 6,0 | 5,5 | 7,5 | |
215/60R15 | 6,5 | 6,0 | 8,0 | |
225/60R15 | 6,5 | 6,0 | 8,0 | |
55 | 175/55R15 | 5,5 | 5,0 | 6,0 |
185/55R15 | 6,0 | 5,0 | 6,5 | |
195/55R15 | 6,0 | 5,5 | 7,0 | |
205/55R15 | 6,5 | 5,5 | 7,5 | |
225/55R15 | 7,0 | 6,0 | 8,0 | |
50 | 195/50R15 | 6,0 | 5,5 | 7,0 |
205/50R15 | 6,5 | 5,5 | 7,5 | |
225/50R15 | 7,0 | 6,0 | 8,0 | |
45 | 195/45R15 | 6,5 | 6,0 | 7,5 |
Посадочный диаметр колесного диска R16
Высота профиля шины | Размер шины | Размер диска (ширина в дюймах) | ||
Рекомендованный | Мин. | Макс. | ||
65 | 215/65R16 | 6,5 | 5,5 | 7,5 |
60 | 205/60R16 | 6,0 | 5,5 | 7,5 |
215/60R16 | 6,5 | 6,0 | 7,5 | |
225/60R16 | 6,5 | 6,0 | 8,0 | |
235/60R16 | 7,0 | 6,5 | 8,5 | |
55 | 195/55R16 | 6,0 | 5,5 | 7,0 |
205/55R16 | 6,5 | 5,5 | 7,5 | |
215/55R16 | 7,0 | 6,0 | 7,5 | |
225/55R16 | 7,0 | 6,0 | 8,0 | |
245/55R16 | 7,5 | 7,0 | 8,5 | |
50 | 185/50R16 | 6,0 | 5,0 | 6,5 |
195/50R16 | 6,0 | 5,5 | 7,0 | |
205/50R16 | 6,5 | 5,5 | 7,5 | |
215/50R16 | 7,0 | 6,0 | 7,5 | |
225/50R16 | 7,0 | 6,0 | 8,0 | |
235/50R16 | 7,5 | 6,5 | 8,5 | |
245/50R16 | 7,5 | 7,0 | 8,5 | |
255/50R16 | 8,0 | 7,0 | 9,0 | |
45 | 195/45R16 | 6,5 | 6,0 | 7,5 |
205/45R16 | 7,0 | 6,5 | 7,5 | |
215/45R16 | 7,0 | 7,0 | 8,0 | |
225/45R16 | 7,5 | 7,0 | 8,5 | |
245/45R16 | 8,0 | 7,5 | 9,0 | |
40 | 215/40R16 | 7,5 | 7,0 | 8,5 |
225/40R16 | 8,0 | 7,5 | 9,0 | |
Посадочный диаметр колесного диска R17
Высота профиля шины | Размер шины | Размер диска (ширина в дюймах) | ||
Рекомендованный | Мин. | Макс. | ||
65 | 235/65R17 | 7,0 | 6,5 | 8,5 |
60 | 225/60R17 | 6,5 | 6,0 | 8,0 |
55 | 205/55R17 | 6,5 | 5,5 | 7,5 |
215/55R17 | 7,0 | 6,0 | 7,5 | |
225/55R17 | 7,0 | 6,0 | 8,0 | |
235/55R17 | 7,5 | 6,5 | 8,5 | |
245/55R17 | 7,5 | 7,0 | 8,5 | |
255/55R17 | 8,0 | 7,0 | 9,0 | |
50 | 205/50R17 | 6,5 | 5,5 | 7,5 |
215/50R17 | 7,0 | 6,0 | 7,5 | |
225/50R17 | 7,0 | 6,0 | 8,0 | |
235/50R17 | 7,5 | 6,5 | 8,5 | |
45 | 205/45R17 | 7,0 | 6,5 | 7,5 |
215/45R17 | 7,0 | 7,0 | 8,5 | |
225/45R17 | 7,5 | 7,0 | 8,5 | |
235/45R17 | 8,0 | 7,5 | 9,0 | |
245/45R17 | 8,0 | 7,5 | 9,0 | |
255/45R17 | 8,5 | 8,0 | 9,5 | |
40 | 205/40R17 | 7,5 | 7,0 | 8,0 |
215/40R17 | 7,5 | 7,0 | 8,5 | |
235/40R17 | 8,5 | 8,0 | 9,5 | |
245/40R17 | 8,5 | 8,0 | 9,5 | |
255/40R17 | 9,0 | 8,5 | 10,0 | |
265/40R17 | 9,5 | 9,0 | 10,5 | |
275/40R17 | 9,5 | 9,0 | 11,0 | |
285/40R17 | 10,0 | 8,5 | 11,0 | |
35 | 225/35R17 | 8,0 | 7,5 | 9,0 |
245/35R17 | 8,5 | 8,0 | 9,5 | |
265/35R17 | 9,5 | 9,0 | 10,5 | |
335/35R17 | 11,5 | 11,0 | 13,0 | |
Посадочный диаметр колесного диска R18
Высота профиля шины | Размер шины | Размер диска (ширина в дюймах) | ||
Рекомендованный | Мин. | Макс. | ||
65 | 235/65R18 | 7,0 | 6,5 | 8,5 |
50 | 235/50R18 | 7,5 | 6,5 | 8,5 |
245/50R18 | 7,5 | 7,0 | 8,5 | |
45 | 215/45R18 | 7,0 | 7,0 | 8,0 |
225/45R18 | 7,5 | 7,0 | 8,5 | |
235/45R18 | 8,0 | 7,5 | 9,0 | |
245/45R18 | 8,0 | 7,5 | 9,0 | |
255/45R18 | 8,5 | 8,0 | 9,5 | |
275/45R18 | 9,0 | 8,5 | 10,5 | |
40 | 205/40R18 | 7,5 | 7,0 | 8,0 |
225/40R18 | 8,0 | 7,5 | 9,0 | |
235/40R18 | 8,0 | 7,5 | 9,0 | |
245/40R18 | 8,5 | 8,0 | 9,5 | |
255/40R18 | 9,0 | 8,5 | 10,0 | |
265/40R18 | 9,5 | 9,0 | 10,5 | |
275/40R18 | 9,5 | 9,0 | 11,0 | |
285/40R18 | 10,0 | 9,5 | 11,0 | |
35 | 215/35R18 | 7,5 | 7,0 | 8,5 |
225/35R18 | 8,0 | 7,5 | 9,0 | |
235/35R18 | 8,5 | 8,0 | 9,5 | |
255/35R18 | 9,0 | 8,5 | 10,0 | |
265/35R18 | 9,5 | 9,0 | 10,5 | |
275/35R18 | 9,5 | 9,0 | 11,0 | |
285/35R18 | 10,0 | 9,5 | 11,0 | |
295/35R18 | 10,5 | 10,0 | 11,5 | |
345/35R18 | 12,0 | 11,5 | 13,5 | |
30 | 285/30R18 | 10,0 | 9,5 | 10,5 |
295/30R18 | 10,5 | 10,0 | 11,0 | |
315/30R18 | 11,0 | 10,5 | 11,5 | |
325/30R18 | 12,0 | 11,0 | 13,0 | |
335/30R18 | 12,0 | 11,5 | 12,5 | |
345/30R18 | 12,0 | 11,5 | 12,5 | |
Посадочный диаметр колесного диска R19
Высота профиля шины | Размер шины | Размер диска (ширина в дюймах) | ||
Рекомендованный | Мин. | Макс. | ||
50 | 275/50R19 | 8,5 | 7,5 | 9,5 |
45 | 245/45R19 | 8,0 | 7,5 | 9,0 |
40 | 225/40R19 | 8,0 | 7,5 | 9,0 |
245/40R19 | 8,5 | 8,0 | 9,5 | |
255/40R19 | 9,0 | 8,5 | 10,0 | |
275/40R19 | 9,5 | 9,0 | 11,0 | |
35 | 225/35R19 | 8,0 | 7,5 | 9,0 |
235/35R19 | 8,5 | 8,0 | 9,5 | |
245/35R19 | 8,5 | 8,0 | 9,5 | |
255/35R19 | 9,0 | 8,5 | 10,0 | |
265/35R19 | 9,5 | 9,0 | 10,5 | |
275/35R19 | 9,5 | 9,0 | 11,0 | |
285/35R19 | 10,0 | 9,5 | 11,0 | |
295/35R19 | 10,5 | 10,0 | 11,5 | |
30 | 265/30R19 | 9,5 | 9,0 | 10,0 |
275/30R19 | 9,5 | 9,0 | 10,0 | |
285/30R19 | 10,0 | 9,5 | 10,5 | |
295/30R19 | 10,5 | 10,0 | 11,0 | |
305/30R19 | 11,0 | 10,5 | 11,5 | |
345/30R19 | 12,0 | 11,5 | 12,5 | |
25 | 315/25R19 | 11,5 | 11,0 | 12,0 |
Посадочный диаметр колесного диска R20
Высота профиля шины | Размер шины | Размер диска (ширина в дюймах) | ||
Рекомендованный | Мин. | Макс. | ||
45 | 275/45R20 | 9,0 | 8,5 | 10,5 |
40 | 245/40R20 | 9,0 | 8,0 | 9,5 |
35 | 245/35R20 | 8,5 | 8,0 | 9,5 |
255/35R20 | 9,0 | 8,5 | 10,0 | |
275/35R20 | 10,0 | 9,0 | 11,0 | |
30 | 235/30R20 | 8,5 | 8,5 | 9,5 |
245/30R20 | 8,5 | 8,5 | 9,5 | |
255/30R20 | 9,0 | 9,0 | 10,0 | |
285/30R20 | 10,0 | 10,0 | 11,0 | |
335/30R20 | 12,0 | 12,0 | 13,0 | |
25 | 285/25R20 | 10,5 | 10,0 | 11,0 |
295/25R20 | 10,5 | 10,0 | 11,0 | |
325/25R20 | 12,0 | 11,5 | 12,5 | |
Посадочный диаметр колесного диска R21
Высота профиля шины | Размер шины | Размер диска (ширина в дюймах) | ||
Рекомендованный | Мин. | Макс. | ||
35 | 245/35R21 | 8,5 | 8,0 | 9,5 |
255/35R21 | 9,0 | 8,5 | 10,0 | |
30 | 255/30R21 | 9,0 | 9,0 | 10,0 |
285/30R21 | 10,0 | 10,0 | 11,0 | |
295/30R21 | 10,5 | 10,0 | 11,0 | |
25 | 295/25R21 | 10,5 | 10,0 | 11,0 |
Посадочный диаметр колесного диска R22
Высота профиля шины | Размер шины | Размер диска (ширина в дюймах) | ||
Рекомендованный | Мин. | Макс. | ||
30 | 255/30R22 | 9,0 | 9,0 | 10,0 |
25 | 295/25R22 | 10,5 | 10,0 | 11,0 |
Таблица размеров шин
для велосипедных дисков
Когда пришло время заменить изношенные шины, это хорошая возможность разблокировать полный потенциал ваших колес, попробовав что-то новое. Эта таблица даст представление о том, какие шины Размеры могут соответствовать внутренней ширине обода.
Неподходящий размер шины может повредить обод и подвергнуть водителей опасности. Если шина недостаточно широкая, вы рискуете получить еще больше защемлений и разрывов; если она слишком широкая, отрыжка шин и плохая устойчивость может произойти.
В этом блоге мы приводим рекомендуемые таблицы размеров шин для горных/дорожных/толстых дисков LB. Проверь это
внимательно перед заказом карбоновых дисков или покупкой новых шин.
Если вашей комбинации нет в списке
здесь, пожалуйста, свяжитесь с нами, чтобы обсудить это.
МТБ ДИСКИ / ШИНЫ
| Внутренний обод ширина (мм) | 19 | 20 | 21 | 22 | 23 | 24 | 25 | 26 | 27 | 28 | 29 | 30 | 31 | 32 | 33 | 34 | 35 | 40 | 45 | 50 |
|---|---|---|---|---|---|---|---|---|---|---|---|---|---|---|---|---|---|---|---|---|
| Размер шины 1.9 дюймов | √ | √ | √ | √ | √ | |||||||||||||||
Размер шины 2. 0″ | √ | √ | √ | √ | √ | √ | ||||||||||||||
| Размер шины 2.1 дюйм | √ | √ | √ | √ | √ | √ | √ | √ | √ | √ | ||||||||||
| Размер шины 2.2″ | √ | √ | √ | √ | √ | √ | √ | √ | √ | √ | √ | |||||||||
Размер шины 2. 3″ | √ | √ | √ | √ | √ | √ | √ | √ | √ | √ | √ | √ | √ | |||||||
| Размер шины 2.4″ | √ | √ | √ | √ | √ | √ | √ | √ | √ | √ | √ | √ | ||||||||
| Размер шины 2.5 — 2,7 дюйма | √ | √ | √ | √ | √ | √ | √ | √ | √ | √ | √ | |||||||||
Размер шины 2. 8–3,1 дюйма (плюс) | √ | √ | √ | √ | √ | √ | √ | √ |
Примечание:
Рекомендации основаны на наших тестах на совместимость ободных шин с некоторыми из самых популярных шин.Эта диаграмма служит только в качестве общего руководства, поскольку форма борта, давление накачки и другие переменные будут влиять на фактическую совместимость обод-шины. Пожалуйста, отправьте профиль обода производителю шин для перепроверки.
Мы не рекомендуем выбирать наибольшее или наименьшее значение диапазона размеров. Например, в диапазоне от 1,9 дюйма до 2,1 дюйма, 2,0 дюйма — оптимальный вариант для большинства райдеров.
Таблица применима только к ободам Light Bicycle с уникальным интерфейсом шины. Если вы используете диски других марок, отправьте профиль диска производителю шин для получения рекомендаций.
ДОРОЖНЫЕ ДИСКИ / ШИНЫ
| Внутренний ширина обода (мм) | 17-19 | 20-21 | 22-23 | 24-25 |
|---|---|---|---|---|
| Размер шин 23-25C | √ | |||
| Размер шин 25-28C | √ | √ | √ | |
| Размер шин 28-30C | √ | √ | √ | √ |
| Размер шин 30-33C | √ | √ | √ | √ |
| Размер шин 33-35C | √ | √ | √ | √ |
| Размер шин 35-38C | √ | √ | √ | √ |
| Размер шин 38-40C | √ | √ | √ | |
| Размер шин 40-43C | √ | √ | √ | |
| Размер шин 43-45C | √ | √ | ||
| Размер шин 45-48C | √ | √ | ||
| Размер шин 48-50C | √ |
Примечание:
Рекомендации основаны на наших тестах на совместимость ободных шин с некоторыми из самых популярных шин.
Эта диаграмма служит только в качестве общего руководства, так как конструкция борта, давление накачки и другие переменные будут влиять на фактическую совместимость обода с шиной. Пожалуйста, отправьте профиль обода производителю шин для перепроверки.
Мы не предлагаем выбирать наибольшее и наименьшее значения диапазона размеров. Например, при диапазоне от 25С до 30С 28С является оптимальным вариантом для большинства райдеров.
Таблица применима только к ободам Light Bicycle со специальным интерфейсом обод-шина.Если вы используете диски других марок, отправьте профиль диска производителю шин для получения рекомендаций.
ЖИРНЫЕ ДИСКИ / ШИНЫ
| Внутренний ширина обода (мм) | 55 | 60 | 65 | 70 | 75 | 80 | 85 |
|---|---|---|---|---|---|---|---|
| Размер шин 3,8–4,2 дюйма | √ | √ | √ | ||||
Размер шин 4. 3 — 5,0″ | √ | √ | √ | √ | √ | √ | √ |
Примечание:
Рекомендации основаны на наших тестах на совместимость ободных шин с некоторыми из самых популярных шин. Эта диаграмма служит только в качестве общего руководства, так как конструкция борта, давление накачки и другие переменные будут влиять на фактическую совместимость обода с шиной.Данные таблицы следует уточнять у производителя шин.
Мы не предлагаем выбирать наибольшее и наименьшее значения из рекомендуемого диапазона размеров. Например, в диапазоне от 4,3” до 5,0”, 4,7” — оптимальный вариант для большинства райдеров.
Таблица применима только к ободам Light Bicycle со специальным интерфейсом обод-шина. Если вы используете диски других марок, отправьте профили дисков производителю шин для получения рекомендаций.
Недавно мы провели несколько тестов на ширину и вес шин и сделали их хорошими блогами для
поможет вам выбрать правильные шины для вашего велосипеда быстро.
Системы калибровки шин
Системы калибровки шинСообщения о закрытии этого веб-сайта сильно преувеличены! Мы на sheldonbrown.com благодарим Harris Cyclery за многолетнюю поддержку. Harris Cyclery закрылась, но мы продолжаем работать. Продолжайте посещать сайт для получения новых и обновленных статей, а также новостей о возможных новых связях.
Если вы заинтересованы в размещении рекламы на этом сайте, перейдите на сайт SheldonBrown Ads.
Системы определения размеров шин
Эта статья также доступна на британском английском!
Для получения более общей информации о шинах см. мою статью о шинах.
Какой размер шины подходит к какому размеру обода?
Велосипедные шины бывают самых разных размеров. Что еще хуже, на заре велоспорта каждая страна, производившая велосипеды, разработала собственную систему маркировки размеров. Шина одного и того же размера будет известна под разными номерами в разных странах.
Хуже того, шины разных размеров, которые не были взаимозаменяемы друг с другом, часто маркировались одними и теми же номерами!
На этой странице представлены размеры, широко используемые на момент ее написания, а также ряд более старых размеров. Справочник Сазерленда по велосипедной механике , с 3-го по 6-е издание, охватывает десятки дополнительных старинных размеров. Шестое издание доступно на компакт-диске от Sutherland’s. В лучших велосипедных магазинах есть копия.
Какой размер шины подходит для какого велосипеда?
Чтобы определить, какой размер шин подходит, выполните измерения на вилке и раме велосипеда.
Если у велосипеда есть ободные тормоза, обод должен совпадать с тормозными колодками, поэтому подойдет только один размер обода или небольшой диапазон размеров.Итак, сначала измерьте расстояние от центра оси втулки в дропауте до центра тормозной колодки. Затем найдите радиус обода в таблице ISO на этой странице. С другими тормозами может быть возможен другой размер обода, хотя более длинный радиус действия тормоза обычно приводит к снижению эффективности торможения.
Передняя шина не должна доходить до короны вилки; заднее колесо не должно касаться моста перьев сиденья или моста нижних перьев. Проведите измерения от положения оси до короны вилки, перемычки нижнего и нижнего перьев.Внешний радиус шины номинально равен радиусу обода плюс ширина шины и на 1 см больше для шины с глубоким протектором. Шина обычно должна иметь зазор 1 см, 2 см, если будет установлено крыло, но не используйте колесо намного меньшего размера, иначе педаль слишком сильно ударится о землю в повороте. На велосипеде с горизонтальными дропаутами желателен дополнительный зазор до моста цепи, чтобы можно было снять колесо, не сдувая шину.
Пространство между лезвиями или перьями вилки должно быть достаточно широким, чтобы не касаться шины, с дополнительными запасами по несколько миллиметров с каждой стороны на случай, если колесо немного выйдет из положения.Измеряйте радиус самой широкой части шины, обычно это радиус обода плюс половина ширины шины, за исключением случаев, когда самая широкая часть может находиться на протекторе внедорожной шины.
Номинальная ширина шины указана на шине; фактическую ширину можно измерить, если шина установлена на обод.
Если на велосипеде установлены ступичные тормоза (барабанные, дисковые, каботажные), возможны другие размеры обода, если шина подходит к раме. Чем больше обод, тем тоньше шина, и наоборот.
Традиционные калибровочные системы
Традиционные системы определения размеров основаны на измерении внешнего диаметра шины.Обычно это измеряется в дюймах (26 дюймов, 27 дюймов и т. д.) или миллиметрах (650, 700 и т. д.).
К сожалению, эволюция шин и дисков привела к тому, что эти измерения утратили связь с реальностью. Вот как это работает: давайте начнем с размера 26 x 2,125, который стал популярным на тяжелых велосипедах с «баллонными шинами» в конце 30-х годов и до сих пор остается обычным на велосипедах «пляжных круизеров». Фактический диаметр шины этого размера очень близок к 26 дюймам. Однако некоторые гонщики были недовольны этими шинами и хотели чего-то более легкого и быстрого.
Промышленность отреагировала выпуском шин «среднего веса» с маркировкой 26 x 1,75, подходящих для тех же дисков. Хотя они по-прежнему называются «26 дюймов», на самом деле эти шины имеют размер 25 5/8 дюйма, а не 26 дюймов. Этот же размер обода был принят первыми пионерами «клункеров» западного побережья и стал стандартом для горных велосипедов. Из-за аппетита рынка вы можете получить шины шириной всего 25 мм, чтобы соответствовать этим дискам, поэтому вы получите шину «26 дюймов», которая больше похожа на 24 7/8 дюйма в фактическом диаметре!
Вторая цифра или буквенный код указывают ширину шины.(26 x 1,75, 27 x 1 1/4…650B, 700C…)
Соответствует ли точка семь пять трем четвертям?
Обозначения, основанные на дюймах, иногда выражают ширину в десятичной дроби (26 x 1,75), а иногда в виде обыкновенной дроби (26 x 1 3/4). Это самая распространенная причина несовпадений. Хотя эти обозначения размеров математически равны, они относятся к шинам разного размера, которые НЕ являются взаимозаменяемыми.
Опасно обобщать, говоря о размерах шин, но я бы с уверенностью заявлял следующее:
Закон Брауна о размерах шин:
Если на двух шинах указаны размеры, которые математически равны,
но одна выражена в виде десятичной дроби, а другая в виде дроби,
эти две шины будут а не взаимозаменяемыми.(ну, есть три исключения, указанные в таблицах ниже…)
Нечестность в подборе размера
Конкурентное давление часто приводило к неточности измерения ширины. Вот как это работает: Предположим, вы ищете высокопроизводительную шину размером 700 x 25; Вы могли бы разумно изучить каталоги и рекламные объявления, чтобы попытаться найти самый легкий из доступных 700-25. Если бы Pepsi Tire Company и Coke Tire Company имели шины одинакового качества и технологии, но Pepsi 700-25 на самом деле была бы 700-24 с маркировкой 25, шина Pepsi была бы легче, чем Coke 700-25 с точной маркировкой. .Это дало бы Pepsi конкурентное преимущество. В целях самообороны Coke предприняла ответные меры, продав еще более легкий 700-23 с маркировкой 700-25.
Этот сценарий преобладал на протяжении 70-х и 80-х годов. Ситуация настолько вышла из-под контроля, что возобладали более хладнокровные, и наметилась сильная (но не повсеместная) тенденция к точным измерениям ширины.
Некоторые шоссейные велосипеды имеют очень узкие зазоры и не подходят для честной 28-миллиметровой шины. См. комментарии в нашей статье о крыльях.
BSD
ISO, Международная организация по стандартизации, разработала универсальную систему размеров шин и дисков, которая устраняет путаницу. (Эта система ранее была известна как система «ETRTO», разработанная европейской организацией E T yre и R im T технической O организацией.) В системе ISO используются два числа. Во-первых, это ширина в миллиметрах. Для обода это внутренняя ширина между фланцами, как показано на схеме; для шины это ширина в накачанном состоянии.Это будет немного варьироваться в зависимости от ширины обода.
Второй номер ISO является критическим: это диаметр посадки борта обода в мм («BSD»). Как правило, если это число совпадает, соответствующая шина подходит к ободу; если они не совпадают, шина не подойдет.
Например, дорожная шина 700 x 20 C будет иметь размер 20-622; гибридная шина 700 x 38 будет 38-622. Разница в ширине между этими размерами сделала бы их менее чем идеальной заменой друг другу, но любой обод, который мог бы подойти к одному из них, будет работать после моды с другим.
Общее правило заключается в том, что ширина шины должна составлять от 1,45 до 2,0 ширины внутреннего обода.
Если вы раздвинете бусины и измерите общую ширину от бусины к бусине, она должна быть примерно в 2,5 раза больше ширины ISO.
Если ваша шина слишком узкая для обода, существует повышенный риск повреждения шины/обода в результате дорожных опасностей.
Если он слишком широк для обода, возрастает риск износа боковины тормозными колодками и повышается риск потери контроля в случае внезапного прокола.
В приведенных ниже таблицах приведен неполный список традиционных размеров шин с их эквивалентами по седлу борта по стандарту ISO. Список сравнения ISO в нижней части этой страницы охватывает все размеры, которые, как нам известно, производились по состоянию на 2016 год. Дробные, десятичные и французские списки охватывают распространенные размеры.
Дробные размеры:
| Дробный | ИСО | Приложения |
|---|---|---|
| 36 дюймов | 787 мм | Унициклы, некоторые новые велосипеды |
| 32 дюйма | 686 мм | Унициклы, некоторые новые велосипеды |
| 29 дюймов | 622 мм | Это маркетинговый термин для широких шин шириной 622 мм («700C»). |
| 28 х 1 1/2 | 635 мм | Английский, голландский, китайский, индийский родстеры со стержневыми тормозами (также обозначены F10, F25, 700 B) |
| 622 мм | (F. 13) Редкое канадское обозначение | .|
| 28 х 1 5/8 х 1 1/2 | Североевропейское обозначение размера 622 мм (700 C) | |
| 635 мм | Старое шведское обозначение | |
| 27 x любые, кроме «27 Five» и 609 мм датский | 630 мм | Старые шоссейные велосипеды. |
| 27 x 1 1/2 | 609 мм | Редкий датский размер |
| 26 x 1 (650°С) | 571 мм | Триатлон, гонки на время, маленькие шоссейные велосипеды. Старый Швинн S-4 |
| 26 х 1 1/4 | 597 мм | Старые британские спортивные и клубные велосипеды |
| 26 x 1 3/8 (S-6) | Schwinn «легковесы» | |
| 26 x 1 3/8 (E.A.3) | 590 мм | Большинство английских 3-скоростных, универсальных или детских 10-скоростных |
| 26 x 1 1/2 (650B) | 584 мм | Французские универсальные, тандемные и туристические велосипеды с грузом, очень мало Raleigh (U. S.) и горные велосипеды Schwinn. |
| 26 x 1 3/4 (S-7) | 571 мм | Schwinn «средневесные» крейсера |
| 26 x 1, 1 1/8 | Колеса с высокими эксплуатационными характеристиками для небольших велосипедистов, распространенные на велосипедах Cannondale | |
| 24 x 1 | 520 мм | Высокопроизводительные колеса для небольших райдеров; Махровый фронт |
| 24 x 1 1/8 | 520 мм или 540 мм! | Внимание! 540 мм обычно для инвалидных колясок. |
| 24 x 1 1/4 | 547 мм | Британский или швиннский несовершеннолетний |
| 24 x 1 3/8 (S-5) | Легковесы Schwinn Juvenile | |
24 x 1 3/4 | 520 мм | Швинн «Средний вес» |
| 24 x 1 3/8 (E-5) | 540 мм | Британский несовершеннолетний, большинство инвалидных колясок; распространены на женских универсальных велосипедах в Японии.![]() |
| 22 x 1 3/8 НЛ | 489 мм | Голландский несовершеннолетний |
| 20 х 1 1/8 20 х 1 1/4 20 х 1 3/8 | 451 мм | Детские легкие велосипеды, BMX для легких гонщиков, некоторые лежачие велосипеды, некоторые складные велосипеды |
| 20 х 1 3/4 | 419 мм | Швинн для несовершеннолетних |
| 20 х 2 | 438 мм | Шведский |
| 18 x 1 3/8 | 400 мм | Британский несовершеннолетний |
| 17 x 1 1/4 | 369 мм | Алекс Моултон Серия AM |
| 16 х 1 3/8 | 349 мм | Старший Моултон; Бромптон и другие папки, лежачие спереди, для подростков |
| 16 х 1 3/8 | 337 мм | Таинственная шина |
| 16 х 1 3/8 | 335 мм | Польский несовершеннолетний |
| 16 x 1 3/4 | 317 мм | Швинн Несовершеннолетний |
| 14 x 1 3/8 | 298 мм | Моултон мини и т. д. |
| 12 1/2 x любой | 203 мм | Подростковый, скутеры |
| 10 х 2 | 152 мм | Ролик для инвалидной коляски |
| 8 x 1 1/4 | 137 мм | Ролик для инвалидной коляски |
Традиционно дробные размеры изготавливаются для дисков с прямыми сторонами. Предпочтительно используются высокопроизводительные размеры (520 мм, 571, 622 мм и т. д.). с ободьями с загнутыми краями, которые могут выдерживать более высокое давление и центрировать шины надежнее.В бескамерных шинах могут использоваться специальные ободья с загнутыми краями, образующие герметичное уплотнение.
Десятичные размеры:
| Десятичный | ИСО | Приложения |
|---|---|---|
| 29 дюймов | 622 мм | Это маркетинговый термин для широких шин шириной 622 мм («700C»). |
| 28 десятичных чисел | Некоторые немецкие шинные компании используют это нестандартное обозначение для шин диаметром 622 мм («700C») — это нарушает закон Брауна! | |
| «27 пять» (означает 27.5) | 584 мм | Маркетинговый термин, обозначающий широкие шипастые шины диаметром 584 мм. Некоторые горные велосипеды |
| 26 x 1,00–5,0 | 559 мм | Большинство горных велосипедов, круизеров, фэтбайков и т. д. Старое обозначение Schwinn было S-2 | .
| 26 x 1,25 (редко) | 599 мм | Очень старые легковесы США |
| 26 x 1,375 (редко) | Очень старые легковесы США | |
| 24 х 1,5-24 х 2.125 | 507 мм | Детские горные велосипеды, круизеры |
| 22 х 1,75, 22 х 2,125 | 457 мм | Несовершеннолетний |
| 20 х 1,5-20 х 2,125 | 406 мм | Большинство BMX, детские, папки, прицепы, некоторые лежачие |
| 18 х 1,5 | 355 мм | Складной велосипед Birdy |
| 18 х 1,75-18 х 2,125 | Несовершеннолетний | |
| 16 х 1.75-16 х 2,125 | 305 мм | Несовершеннолетние, папки, прицепы, Strida, ранний DaHon, некоторые лежачие |
| 14 х 1,75-14 х 2,125 | 254 мм | Несовершеннолетний |
| 12 1/2 x любой | 203 мм | Подростковый, скутеры |
Французские размеры:
Во французской системе первое число — это номинальный наружный диаметр в мм, за которым следует буквенный код ширины: «A» — узкий, «D» — широкий.Буквенные коды больше не соответствуют ширине шины, поскольку узкие шины часто изготавливаются для размеров обода, которые изначально предназначались для широких шин; например, 700 C изначально был широким размером, но теперь доступен в очень узкой ширине, с фактическим внешним диаметром всего 660 мм.
| Французский размер | ИСО | Приложения |
|---|---|---|
| 700 А | 642 мм | Устарело |
| 700 Б | 635 мм | Тяговый тормоз родстера. |
| 700 С | 622 мм | Шоссейные велосипеды, гибриды, 29-дюймовые горные велосипеды. (28 x 1 1/2 F.13 Канада) |
| 650 А | 590 мм | Французская версия 26 x 1 3/8; Итальянские высокопроизводительные велосипеды для небольших гонщиков |
| 650 Б | 584 мм | Французские грузовые велосипеды, тандемы и туристические велосипеды с грузом; некоторые старые горные велосипеды Raleigh и Schwinn. Также называется 27 пять. См. У нас есть страница примерно такого размера. |
| 700 Д | 583 мм | Размер Oddball, ранее использовавшийся на некоторых моделях GT. Покрышка 650В (584 мм) достаточно близка, возможно, с широкой ободной лентой. |
| 650 С | 571 мм | Триатлон, гонки на время, высокопроизводительные шоссейные велосипеды для небольших гонщиков |
| 600 А | 540 мм | Европейские шоссейные велосипеды для подростков, большинство инвалидных колясок |
| 550 А | 490 мм | Европейские шоссейные велосипеды для подростков |
| 500 А | 440 мм | Европейский ювенильный, складной |
| 450 А | 390 мм | Европейская несовершеннолетняя |
400 А | 340 мм | Европейская несовершеннолетняя |
| 350 А | 288 мм | Европейская несовершеннолетняя |
Перекрестная ссылка ИСО:
| Диаметр посадки борта, мм | Радиус посадки борта, мм | Традиционные обозначения |
|---|---|---|
| 787 | 393.5 | 36 дюймов |
| 686 | 343 | 32 дюйма |
| 635 | 317,5 | 28 х 1 1/2, 700 В, 28 х 1 5/8 x 1 1/2 (старый, Швеция) |
| 630 | 315 | 27 х все, кроме «27» пять дюймов и 609 мм |
| 622 | 311 | 700°C, 28 x 1 5/8 x 1 1/2 и другие пары чисел (но также см. 635), 29 дюймов, 28 x 1 1/2 F.13 Канада |
| 609 | 304.5 | Редкий датский размер, 27 x 1 1/2 |
| 599 | 299,5 | 26 x 1,25, x 1,375 — старый США размер |
| 597 | 298,5 | 26 х 1 1/4, 26 х 1 3/8 (S-6) |
| 590 | 295 | 26 x 1 3/8 (E.A.3), 650 А |
| 584 | 292 | 650B, 26 x 1 1/2, «27 пять» |
| 583 | 291,5 | 700 D — необычный размер производства ГТ |
| 571 | 285.5 | 26 х 1, 26 х 1 3/4, 650 С |
| 559 | 279,5 | 26 х 1,00- х 2,125, также шины для фэтбайков шириной до 5 дюймов |
| 547 | 273,5 | 24 х 1 1/4, 24 х 1 3/8 (S-5) |
| 541 | 270,5 | 600 А |
| 540 | 270 | 24 х 1 1/8, 24 х 1 3/8 (E.5), |
| 520 | 260 | 24 х 1, 24 х 1 1/8, 24 х 1 3/4 |
| 507 | 253.5 | 24 х 1,5- х 2,125 |
| 501 | 250,5 | Британский, 22 x 1 3/8, 22 x 1,00 |
| 490 | 245 | 550 А |
| 489 | 244,5 | Голландский несовершеннолетний 22 x 1 1/8 NL, 22 x 1 3/8 NL |
| 484 | 242 | 550 Б |
| 457 | 228,5 | 22 х 1,75; х 2,125 |
| 451 | 225.5 | 20 х 1 1/8; х 1 1/4; х 1 3/8 |
| 440 | 220 | 500 А |
| 438 | 219 | Голландский ювенильный, 20 x 1 3/8 NL |
| 428 | 214 | Шведский, 20 x 2 |
| 419 | 209,5 | 20 х 1 3/4 |
| 406 | 203 | 20 х 1,5- х 2,125 |
| 390 | 195 | 450 А |
| 369 | 184.5 | 17 х 1 1/4 |
| 355 | 177,5 | 18 х 1,5- х 2,125 |
| 349 | 174,5 | 16 х 1 3/8 |
| 340 | 170 | 400 А |
| 337 | 168,5 | 16 х 1 3/8 |
| 317 | 158,5 | 16 х 1 3/4 |
| 305 | 152,5 | 16 х 1,75- х 2,125 |
| 298 | 149 | 14 x 1 3/8, Moulton Mini |
| 288 | 144 | 350 А |
| 254 | 127 | 14 х 1.75 |
| 203 | 101,5 | 12 1/2 X что угодно. |
| 152 | 76 | 10 х 2 |
| 137 | 68,5 | 8 х 1 1/4 |
Большая часть этой информации была собрана Джоном Алленом для
Sutherland’s Handbook For Bicycle Mechanics , библии велосипедных технологий. В 6-м издании Сазерленда есть более подробная и тщательная версия этой таблицы.Рекомендации по ширине
Хотя вы можете использовать практически любую комбинацию шины и обода с одинаковым диаметром посадки борта, как уже отмечалось, неразумно использовать сильно различающиеся размеры.
Если вы используете очень узкую шину на широком ободе, вы рискуете защемить проколы и повредить обод в результате дорожных опасностей.
Если вы используете очень широкую шину на узком ободе, вы рискуете повредить боковину или обод. Такое сочетание вызывает очень неряшливое управление на малых скоростях.К сожалению, нынешняя мода на горные велосипеды выходит за рамки этого. В целях экономии веса большинство современных горных велосипедов имеют чрезмерно узкие ободья. Такие узкие диски очень плохо работают с широкими шинами, если только шины не перекачаны… но это противоречит назначению широких шин и создает чрезмерную нагрузку на боковины обода.
Феномен «толстых велосипедов» привел к появлению очень широких шин и дисков. Их следует использовать только вместе.
Георг Бегер любезно предоставил диаграмму, показывающую рекомендуемые комбинации ширины:
| Какая шина безопасно устанавливается на какой обод? [все размеры в миллиметрах] | ||||||||||||||
|---|---|---|---|---|---|---|---|---|---|---|---|---|---|---|
| Ширина шины | ||||||||||||||
| Ширина обода (внутри) | 18 | 20 | 23 | 25 | 28 | 32 | 35 | 37 | 40 | 44 | 47 | 50 | 54 | 57 |
| 13 | х | х | х | х | ||||||||||
| 15 | х | х | х | х | ||||||||||
| 17 | х | х | х | х | х | |||||||||
| 19 | х | х | х | х | х | х | ||||||||
| 21 | х | х | х | х | х | х | ||||||||
| 23 | х | х | х | х | ||||||||||
| 25 | х | х | х | х | х | |||||||||
Примечание. Эта диаграмма может немного ошибаться в сторону осторожности.Многие велосипедисты без проблем используют чуть более широкие шины.
Немного истории и математики
Поперечное сечение ткани шины представляет собой дугу окружности — только полный круг с трубками. Обод занимает ту часть окружности, которая не представлена шиной.
Обод обычно в 0,7 раза шире шины, и немного тригонометрии покажет, что обод занимает около 90 градусов окружности окружности. Остальные 270 градусов (3/4 окружности) занимает шина, поэтому ширина при установке на обод составляет 4/(3 * pi), что примерно равно 0.4 раза больше ширины в горизонтальном положении.
Ширина обода и шины, конечно, различаются, поэтому этот результат не является точным.
. Предложение измерять ширину шины с разложенной покрышкой впервые появилось в третьем издании Sutherland’s Handbook for Bicycle Mechanics (1980), и я был автором этого предложения.
Это издание также включало первую опубликованную таблицу размеров шин с использованием стандарта маркировки ETRTO, отличного от оригинального технического документа ETRTO.Расчеты для диаграммы я выполнил на карманном калькуляторе Hewlett-Packard Model 27.
—Джон Аллен
С сайта ВТБ:
Глобальная измерительная система GMS. Текущий отраслевой стандарт для указания фактического размера велосипедной шины в накачанном состоянии не учитывает тонкие различия в размерах протектора и каркаса. Чтобы решить эту проблему и предоставить вам больше информации для сравнения шин, WTB представила глобальную измерительную систему (GMS) для измерения шин.В GMS используется система из двух чисел: первое число — это ширина корпуса, а второе — ширина протектора, обе в миллиметрах. Эти измерения проводятся на ободе шириной 20 мм в месте захвата борта, с шиной, накачанной до 60 фунтов на квадратный дюйм и выдерживаемой в течение 24 часов.
В дополнение к возможности точно определить размер шины, знание фактического размера каркаса и ширины протектора дает представление о объеме воздуха, характеристиках протектора и площади контакта протектора; все это дает вам более четкое представление о том, какие ходовые качества можно ожидать от каждой из шин WTB.
Трубчатые шины в основном используются для гонок. Трубчатая шина не имеет бортов; вместо этого два края каркаса сшиваются (отсюда и термин «сшивание») с внутренней трубкой внутри. Трубочки подходят только к специальным ободкам, где они держатся на цементе.
Если не используется специальный цемент, который не позволяет производить замену шины на дороге, трубчатые элементы «извиваются» относительно обода и работают медленнее, чем лучшие шины с проволокой, даже если они легче — см. подробности у Джобста Брандта.
Трубки существовали нескольких разных размеров, но в наши дни легко доступны только трубы 700c и 26 дюймов. Осторожно: размеры 26-дюймовых и 24-дюймовых труб не стандартизированы. Возьмите с собой обод при покупке шины и наоборот. Варианты размеров трубок описаны в Справочнике по механике велосипедов Сазерленда , 7-е издание, которое можно приобрести у Сазерленда, а также на книжной полке для механиков в лучших велосипедных магазинах.
- Полноразмерные трубы подходят для дисков того же диаметра, что и клинчеры 622 мм (700c).Этот размер иногда называют «28 дюймов» или «700». Его также иногда путают с названием «27 дюймов». Обозначение «27 дюймов» является неточным и устаревшим, но иногда вы сталкиваетесь с ним в старых печатных материалах.
В клинчерных шинах существует реальная разница между размерами «700c» и «27 дюймов», но для трубчатых шин это ложное различие. Всякий раз, когда вы видите упоминание о «27-дюймовых трубках», автор на самом деле имеет в виду стандартные полноразмерные трубы, которые используются на большинстве гоночных велосипедов.
Трубчатые детали - «26 дюймов» или «650» меньше по размеру и в основном используются на велосипедах для гонок на время или гоночных трековых велосипедах. Существует два распространенных размера «26 дюймов», соответствующих размерам ISO 584 мм и 571 мм. Также есть пара необычных размеров .
- «24 дюйма» ( — два немного разных размера) , «22 дюйма», «20 дюймов» и «18 дюймов» трубы раньше использовались для детских гоночных велосипедов, но в наши дни они практически исчезли. Размер «18 дюймов» соответствует размеру «17 дюймов» (369 мм), используемому на велосипедах Moulton.
Если вы хотите звучать как невежественный yahoo, называйте их «трубками» или «бескамерными шинами». Бескамерные шины для велосипедов имеют бортовую проволоку и отличаются только тем, что предназначены для удержания воздуха без внутренней камеры.
Статьи Шелдона Брауна и других
Сообщения о закрытии этого веб-сайта сильно преувеличены! Мы на sheldonbrown.com благодарим Harris Cyclery за многолетнюю поддержку.Harris Cyclery закрылась, но мы продолжаем работать. Продолжайте посещать сайт для получения новых и обновленных статей, а также новостей о возможных новых связях.
Если вы хотите сделать ссылку или закладку на эту страницу, URL-адрес:https://www.sheldonbrown.com/tire-sizing.html
Последнее обновление: Джон Аллен Объяснение ширины шины
! — Циклы славы
Итак, один из самых частых вопросов, которые я получаю в эти дни, это «поместятся ли 28s на эту раму?» Почти всегда мой ответ «может быть».Почему уверенность в неопределенности? Ну, все дело в ширине обода.
Если мы вернемся в прошлое, все ездили на тубулярах. А размер тубуляра никогда не меняется, какой бы широкий обод вы на него ни надели. Вот почему трубчатые диски только немного увеличились в размерах, поскольку шины диаметром 25 и 28 мм стали более популярными. Обод должен только примерно соответствовать ширине трубы, которая никогда не меняется.
Но клинчеры — это совсем другая история. В течение десятилетий клинчерные диски имели внутреннюю ширину примерно 13-15 мм, и именно на этом основывались (и до сих пор более или менее) размеры клинчера.Но большинство ободов в наши дни намного шире: 17, 19 и даже 21 мм. Идея состоит в том, что с большими шинами более широкий обод обеспечивает лучшую поддержку, позволяя шине принимать форму буквы «D», а не форму «лампочки». Последний имеет тенденцию «проваливаться» в крутых поворотах, особенно при более низком давлении, а более низкое давление является одной из основных причин использования более широкой шины.
Поэтому были разработаны современные диски с более широким профилем, чтобы поддерживать более широкие дорожные шины, на которых люди ездят в наши дни.Это все хорошо, но это означает, что указанный размер шины, напечатанный на корпусе, часто не соответствует фактическому размеру шины, когда она установлена на обод. Показательный пример:
Здесь у нас есть 25-миллиметровая Vittoria Corsa, установленная на ободе с внутренней шириной 17 мм, который является примерно таким же узким, как у большинства производителей. Он уже почти на целый миллиметр шире, чем можно было бы предположить по корпусу. Теперь посмотрите на это:
Это та же шина, но смонтированная на ободе шириной 21 мм (внутренняя).Большая разница!
Итак, вернемся к вопросу. Поместится ли эта шина в мою раму? Когда производитель указывает максимальный размер шины как «25» или «28», он имеет в виду ФАКТИЧЕСКИЙ размер шины, а не номинальный размер, указанный на корпусе. Так что, если ваш велосипед может выдержать «28», у вас возникнут проблемы, если вы попытаетесь поставить 28-миллиметровую шину на очень широкий обод.
Также стоит отметить, что не все шины одинаковы. Например, Continental, как известно, шире (и выше), чем многие другие бренды.Разница может достигать 1-2 мм, опять же, в зависимости от ширины обода!
Итак, как узнать, до какого размера шина на самом деле разорвется на данном ободе? Это хороший вопрос, и я недостаточно математически одарен, чтобы ответить на него, хотя я уверен, что у кого-то есть. По крайней мере, для 25s вы можете получить приблизительное значение, взяв разницу между вашим ободом и 15c и разделив ее вдвое. Таким образом, на ободе 17c он должен быть близок к 26 мм или 27 мм на ободе 19 мм. Шина 28 расширится несколько меньше, чем 25, так как разница в ширине обода составляет меньший процент от длины окружности шины.На 17-миллиметровом ободе 28, вероятно, будут иметь размер, близкий к 28, потенциально ближе к 29 на 19-миллиметровом ободе и *возможно* приближаться к 30 на 21-миллиметровом ободе. Причина этого в том, что 28-й размер также выше, чем 25-й, поэтому по мере увеличения ширины обода шина не становится намного шире, но профиль становится больше похожим на букву «D», чем на лампочку. Как только вы доберетесь до сверхшироких ободов, таких как серия Enve AR (внутренний диаметр 25 мм!), разница станет более заметной. По моему опыту, размер 28 на этих дисках составляет от 30,5 до 32 мм, в зависимости от шины.
Кажется, самое время упомянуть, что вы действительно можете зайти СЛИШКОМ далеко. Минимальная ширина шины для Enve AR, например, составляет 28. Использование 25 на таком широком ободе изменит профиль шины нежелательным образом, сгладив более круглый профиль шины. Вы можете свести к абсурду и представить себе покрышку ~19 мм на ободе шириной 25 мм, которая практически не будет иметь никакого объема, а повороты будут ужасающими.
Надеюсь, это дало вам некоторое представление о размерах шин и совместимости рам.Как и размер кадра, это немного сложнее, чем раньше, но ненамного. Выбор обода и шины теперь более целостно интегрирован, чем раньше, и стоит подумать о том, шину какого размера вы хотите использовать, какой обод лучше всего подходит для нее и что это означает с точки зрения совместимости рамы.
Как найти шины, подходящие для ваших дисков
При замене шин у вас может возникнуть множество вопросов. Что касается измерений, типов производительности и грузоподъемности, вам, возможно, придется подумать о многом.
По правде говоря, причин для беспокойства не так много, но есть всего несколько важных моментов, которые необходимо учитывать.
Определение совместимых размеров шинВы можете проверить размер шин вашего автомобиля в трех разных местах. Первый — в заеде водительской двери. Откройте дверь водителя и загляните в дверной зазор или на саму дверь и найдите наклейку с информацией о вашей шине. Здесь вы найдете размер колес (дисков) и шин, которыми ваш автомобиль был оснащен с завода.Важно отметить, что если вы приобрели подержанный автомобиль или у вас были заменены колеса, размер шин может отличаться от размера, когда автомобиль покидал завод.
По этой причине всегда полезно проверить саму шину. Вы увидите ряд букв и цифр, которые будут выглядеть, например, так: 205/55R16. Это подтвердит размер шин на вашем автомобиле. Убедитесь, что все 4 шины имеют одинаковый размер, так как некоторые автомобили устанавливаются в шахматном порядке, что означает, что передние и задние колеса и шины могут быть разных размеров.
Вы также можете проверить руководство пользователя, но первые два варианта будут лучшими.
Ширина шиныКогда вы посмотрите на размер шины, вы увидите этикетку, которая гласит что-то вроде P215/60R16 94T. В этом примере первая цифра 215 — это ширина шины в миллиметрах. Число 60 указывает на соотношение высоты и ширины боковины 60%. Наконец, 94 показывает грузоподъемность шины или то, насколько тяжелый автомобиль могут выдержать шины.
Главный фактор, о котором следует подумать, — это ширина шины вашего автомобиля по сравнению с шириной шины.размер обода. Если вы планируете сохранить свои диски, их размер будет определять, какие шины будут работать хорошо, а какие нет.
Если вы хотите установить на свой автомобиль более узкую или более широкую шину, чем в настоящее время, необходимо учитывать множество факторов. Это изменит управляемость автомобиля, геометрию подвески и расход топлива. Обычно у вас есть некоторая гибкость, если вы хотите получить более широкий рисунок протектора и более высокую боковину, но вы не можете изменить размер, который сильно различается.Лучше всего спросить перед покупкой шин, чтобы в первый раз были установлены правильные шины. JACK Mobile Tire может порекомендовать лучший размер шин для вашего автомобиля.
ДискиРазмер дисков, которые у вас есть, определяет диапазон размеров шин, которые вы можете установить на свой автомобиль. Это означает, что ваши колеса совместимы с целым рядом размеров шин, что позволит вашему автомобилю работать оптимально. Вы можете просмотреть таблицу размеров ширины обода для сравнения.
В качестве примера можно посмотреть на 5 дюймов.диски на графике. Вы можете видеть, что минимальная ширина шин, с которой совместимы эти диски, составляет 155 мм. Оптимальная ширина исполнения составляет от 165 до 175 мм, а максимальная — 185 мм. У вас есть несколько вариантов, когда вы сравниваете ширину шины с размером обода, но эти онлайн-руководства — не то, от чего вам также следует отталкиваться — вам всегда следует сначала проконсультироваться со специалистом. Позвоните нам в JACK Mobile Tire, чтобы проверить правильность установки.
Причины замены шинЕсть несколько причин, по которым люди меняют шины.Иногда это связано с обслуживанием, но иногда это связано с производительностью и эстетикой. Как правило, шины требуют замены каждые 3–4 года, в зависимости от того, сколько вы ездите. Лучше всего использовать шины и бренды, которые, по вашему мнению, прослужат как минимум столько же.
ПроизводительностьСуществует несколько типов шин, которые могут выбирать водители. Когда вы меняете шины, у вас есть возможность выбрать одну из этих категорий шин для повышения эффективности на дорогах, к которым вы хотите подготовиться.Есть всесезонные, летние, зимние и всесезонные шины.
Всесезонные шиныявляются удобным вариантом, поскольку они имеют хорошие общие характеристики на большинстве типов дорог. В качестве универсального варианта они хороши для повседневного использования, но не рекомендуются для вождения в зимних условиях, так как в сильные морозы составы твердеют.
Летние шиныотлично подходят как для сухих, так и для мокрых дорог. Большинство владельцев спортивных автомобилей выберут летнюю шину для лучшей работы в более теплом климате.
Зимние шиныобеспечивают сцепление на снегу и обледенелых дорогах. Сцепление и тормозной путь значительно улучшаются с зимними шинами. Составы, входящие в состав зимних шин, отличаются от всесезонных и летних шин. Шина остается мягкой даже в экстремально холодных условиях. Если вы живете в районе с хорошей зимней погодой, сделайте себе одолжение и купите комплект зимней резины.
Владельцы летних и зимних шин обычно меняют шины по мере смены сезонов в зависимости от дорожных условий.
Всесезонные шины, как и зимние шины, рассчитаны на снежинки, что означает, что их можно использовать в зимних условиях. Однако всесезонные шины изнашиваются быстрее, чем всесезонные, в течение года.
ЭстетикаДля эстетики вы можете приобрести колеса (диски) и шины большего размера, если хотите изменить внешний вид своего автомобиля. Колеса и шины обычно оказывают наибольшее влияние на общий внешний вид автомобиля после краски.Если вам нужна более широкая шина или увеличенная или более тонкая боковина, всегда лучше сначала проконсультироваться со специалистом JACK Mobile Tire Installation.
Неправильно установленные шины могут привести к отключению спидометра вашего автомобиля, ухудшению вождения и общей производительности, что впоследствии вызовет больше проблем с автомобилем.
Обратитесь за помощьюЕсли вы все еще не уверены, какой размер шин или какие шины вам нужны для вашего автомобиля, вы всегда можете обратиться к одному из сертифицированных технических специалистов Jack Mobile.
Технический персонал JACK хочет помочь вам приобрести нужные вам шины и вернуться на дорогу. Поскольку существует множество видов шин, технические специалисты могут порекомендовать несколько отличных вариантов для вашего автомобиля.
Могу ли я поставить на обод широкую шину? Разоблачение ширины обода горного велосипеда
Единственное, что более запутанно, чем поиск подходящей шины для горного велосипеда — и правильного слоя, и каркаса, и рисунка протектора, и компаунда — это убедиться, что это правильная ширина шины для обода.
Сегодня существует столько же вариантов ширины обода, сколько и ширины шин, особенно после появления на рынке горных велосипедов фэтбайков и шин plus.
Невероятно то, что поиск подходящей ширины обода для определенной шины и стиля вождения может иметь огромное значение в качестве езды. При разной ширине обода и шины шина может стать слишком гибкой, жесткой или потерять способность проходить повороты.
Но не волнуйтесь! Мы здесь, чтобы помочь разобраться в этом, и написали общее руководство, которое должно указать всем на правильную ширину обода и шины.
Для тех, кто покупает стандартный горный велосипед в сборе, это, вероятно, не будет проблемой, поскольку дизайнеры должны были оснастить велосипед подходящей комбинацией обода и шины. Но для тех, кто модернизирует шину или обод, легко утонуть в выборе.
Почему это имеет значение?
Классическое изображение с бермой. Райдер: Адам Брайтон. Фото предоставлено Надеждой.
Легче объяснить это, говоря о том, что происходит, когда шины и диски не соответствуют друг другу.
Если устанавливается шина, которая слишком широка для обода, форма шины становится слишком высокой и круглой, как леденец на палочке или лампочка, а затем она становится гибкой в верхней части из-за сужения каркаса. Это может привести к плохому прохождению поворотов и извиванию шин.
Если шина слишком широкая узкая для обода, на котором она установлена, профиль шины может стать слишком квадратным. В результате получается более открытая боковая стенка, которая может быть подвержена порезам. Плохое прохождение поворотов снова становится проблемой, потому что профиль шины имеет квадратную форму, что делает более жестким переход к поворотным ручкам, если вообще имеет место.Шина также может потерять свои демпфирующие характеристики, если станет слишком квадратной.
Что это значит?
Внутренняя ширина обода (IW) — это расстояние по внутренней стороне обода между обеими стенками. Внешняя ширина обода (EW) — это расстояние от внешней стороны одной стенки до внешней стороны другой стенки обода. Возьмите внутреннюю ширину обода и добавьте толщину стенок обода, и вуаля — вы получите внешнюю ширину.
EW — это максимальное число, измеренное на ободе. Измерение под этим — это IW, измеренное от внутренней стены до внутренней стены, а число вдоль стороны — это глубина обода.
Последним измерением обода, помимо размера колеса, является глубина обода. Это высота обода, измеренная от отверстия для спицы до верха стенки обода. Глубина обода не так важна для катания на горных велосипедах, как для шоссейной езды, но есть небольшие различия. Меньшая глубина обода означает, что обод будет более жестким, но немного менее аэродинамичным.
Ширина обода и соответствующей шины
Езда по пересеченной местности
Maxxis Ikon — популярная покрышка XC для катания на горных велосипедах.фото: Джефф Барбер
- Диапазон внутренней ширины 20–25 мм
- Обычно подходит для шин шириной 2–2,25 дюйма
Езда по пересеченной местности значительно отличается от того, что было раньше, но гонщики по-прежнему хотят иметь самое легкое снаряжение и самое быстрое движение. Это означает меньший вращательный вес. Быстрые спуски и резкие повороты не приравниваются к победе в кросс-кантри, но снижение веса может.
Что касается шин и колес, то чем они уже, тем меньше материала требуется.Для кросс-кантри и гонок размер шин обычно составляет 2-2,25 дюйма. Ширина обода, которая совпадает с этой, обычно составляет около 20-25 мм с внутренней стороны.
Однако в последнее время гонщики разных категорий изучают возможности шин большего размера, особенно передних. Было бы неплохо увидеть обод диаметром 27-30 мм на передней части велосипеда XC для лучшего контроля направления и уверенности.
Серия Scott Spark RC World Cup — это хлыст Нино Шуртер для Кубка мира.Скотт поставляет его в стоке с 25-миллиметровыми дисками IW и 2,35-дюймовыми шинами.
фото: Лия Барбер
В отличие от более легкого велосипеда XC, Cannondale F-Si имеет сборочный комплект, оснащенный 21-миллиметровыми ободами IW и 2,25-дюймовыми шинами.
Кажется, что большая часть индустрии горных велосипедов в последнее время отошла от 2,0-дюймовых шин, возможно, потому, что шинные компании могут производить более широкие шины с меньшим весом, чем они могли раньше.
Трейлрайдинг
- Диапазон внутренней ширины 23–27 мм
- Обычно подходит для 2.Шины 25-2,5″
Мы также можем обозначить эту категорию как «маунтинбайкеры на каждый день». Большинство из нас ездят на обычных трейловых велосипедах и хотят баланса между скоростью качения и уверенностью при спуске.
Стандартные трейловые велосипеды, кажется, подходят к OEM-колесам с внутренней шириной 23-27 мм, плюс-минус.
Диски этой ширины подходят для выбора шин, которые большинство из нас использует во всех наших поездках. Хорошей комбинацией является шина 2,25″ или 2,3″ сзади для лучшей скорости качения и небольшой долговечности с 2.5-дюймовая шина спереди для лучшего контроля направления.
На Rocky Mountain Thunderbolt, текущем тестовом мотоцикле для нас, Rocky поставил его с 25-миллиметровым ободом IW и 2,3-дюймовыми шинами спереди и сзади.
На недавно выпущенном Cannondale Habit сборочные комплекты поставляются с дисками IW 25-26 мм и шинами 2,3 и 2,5 дюйма сзади и спереди.
Enduro/All-mountain/DH/Freeride
Фото: Мировая серия эндуро
- Диапазон внутренней ширины 27–35 мм
- Обычно подходит для 2.Шины 3-2,6″
Эта категория экспериментировала, как доктор Франкенштейн, в течение последних нескольких лет, чтобы найти подходящую ширину обода для меняющихся требований езды на эндуро.
Когда дисциплина только расцвела, гонщики эндуро, вероятно, были ближе к 25-миллиметровой внутренней ширине обода, но в последние два или три года эта тенденция приблизилась к 29, 30 и 31-миллиметровой внутренней ширине обода.
Ранее в этом годуRace Face выпустила колесо Next R 36, и, как следует из названия, его внутренняя ширина составляет 36 мм.Они выпустили колесо с гонщиком EWS Реми Говеном, который продемонстрировал преимущества более широкого обода и 2,6-дюймовых шин для лучшего сцепления с дорогой.
Remi Gauvin на колесах Next R 36. фото: RaceFace
Santa Cruz предпринял попытку опередить тенденции в этой категории, выпустив в этом году новую версию Bronson. У них есть два варианта шин и колес для каждого комплекта сборки Bronson. Одна версия поставляется с 2,4 и 2,5-дюймовыми шинами для задней и передней части с ободьями внутренней ширины 29 мм.Другая версия имеет 2,6-дюймовые шины спереди и сзади с ободьями внутренней ширины 35 мм.
Santa Cruz называет это вариантом 27,5+, хотя мы еще не совсем уверены, как назвать размер 2,6 дюйма, потому что большинство гонщиков используют его для другого стиля езды, чем настоящие плюсовые шины.
Шины больших размеров
- Диапазон внутренней ширины 32–50 мм
- Обычно подходит для шин размером 2,8–3,8 дюйма
Многие гонщики взбесились, когда индустрия представила шины Plus, но шумиха улеглась, и популярность шин даже немного снизилась.
Тем не менее, некоторым гонщикам нравится повышенное сцепление с дорогой на рыхлой или пересеченной местности, где шины оставляют большую площадь контакта. Чтобы сделать шину большого размера возможной, производители колес, конечно же, должны были производить обода соответствующей ширины. Сейчас там масса вариантов.
Внутренняя ширина 36 мм хорошо сочетается с широкими трейловыми шинами до 3 дюймов (фото: Аарон Чемберлен)
Обод Stan’s No Tubes Sentry начинается с меньшей ширины обода с внутренней шириной 32 мм, что подходит для шин 2.5-3″ шириной. Ободья большого размера на рынке увеличивают внутреннюю ширину до 45 мм для более толстых плюс шины до 4 дюймов, прямо перед тем, как переход на толстый велосипед становится неразличимым.
В стандартную комплектацию популярного хардтейла Trek Stache plus с шинами входят 46-миллиметровые диски IW и 3-дюймовые шины.
Катание на толстом велосипеде
Фото: Майкл Пол.
- Диапазон внутренней ширины 49–100 мм
- Обычно подходит для шин размером 3,5–5,2 дюйма
Конечно, мы не могли забыть самый широкий из всех ободов для горных велосипедов.Мы обнаружили, что ободья толстых велосипедов обычно имеют внутреннюю ширину от 49 до 100 мм, что почти в пять раз превышает ширину некоторых ободов XC, которые мы обсуждали выше.
Здесь нечего объяснять. Установка покрышки для толстого велосипеда на обод горного велосипеда среднего размера, очевидно, будет плохим выбором и даст интересных ходовых характеристик.
Заключение
Параметры шин и ширины обода постоянно меняются. Одно можно сказать наверняка: горные байкеры заметили преимущество более широких дисков и шин, будь то на несколько миллиметров или на несколько дюймов шире.
Какой размер шин выбрать для дисков шоссейного велосипеда
«Эта статья была обновлена в 2021 году, так как было выпущено новое стандартное руководство ETRTO. С 2020 года не произошло каких-либо заметных изменений. Однако мы всегда рекомендуем проверять стандарт и размеры на случай, если они могут быть обновлены. /тем временем изменилось.»
В этой статье мы собираемся представить некоторые важные сведения о E.Т.Р.Т.О. стандарты , особенно в отношении шоссейных велосипедов . Те, кто использует велосипеды или шины/ободья, отличные от перечисленных ниже, должны быть проинформированы об этом, чтобы обеспечить свою безопасность и безопасность других.
Кроме того, эта статья была опубликована в 2020 году, поэтому мы рекомендуем проверить стандарты и меры, которые могли быть обновлены/изменены за это время.
Когда мы, наконец, садимся на велосипед, нас охватывает чувство свободы, желание исследовать и забыть о стрессе на работе, наконец-то быть свободными!
Что за чувство, с ясным сознанием, только наш велосипед и мы и никто нас не остановит… но прежде чем говорить о свободе, давайте посмотрим и усвоим простую информацию о стандартах, которые могут гарантировать нашу безопасность на дороге, например регулярное техническое обслуживание нашего велосипеда будет делать.
Некоторые люди могут не знать, что, как и другие транспортные средства, велосипеды должны соответствовать некоторым стандартам. Тем не менее, в отличие от транспортных средств, велосипеды не подлежат штрафам за несоблюдение этих стандартов, поэтому в большинстве случаев люди не обращают внимания на такие правила или не знают о них.
Эта статья касается конкретно E.T.R.T.O. (Европейская техническая организация по производству дисков для шин) стандарты . Эта организация устанавливает специальные стандарты для согласования дисков, шин, клапанов для нескольких транспортных средств, от велосипедов до самолетов, , чтобы установить правила, которым должны следовать производители шин и дисков, чтобы гарантировать безопасное соответствие между различными компонентами.
Без этих стандартов был бы такой хаос из-за бесконечного количества типов шин, форм, размеров дисков и, как следствие, несовместимого соответствия. Однако сегодня из-за очень широкого ассортимента дисков и шин выбрать подходящую шину для установки на определенный диск может быть довольно сложно.
Большинство велосипедистов после измерения диаметра — 28 дюймов, 26 дюймов и т. д. — и выбора типа обода, который им больше всего нравится, выбирают шину, которая подходит для этого диаметра и которая, возможно, получила положительные отзывы от друга. .После этого они монтируют шину, не подозревая о возможных рисках.
Так что же они забыли? Помимо диаметра обода, который должен соответствовать шине, которую мы устанавливаем, мы должны проверить, какие шины можно установить на эти диски (поскольку шины меняются чаще, чем диски). Это может привести к некоторым проблемам с точки зрения сопоставления двух: шины, непригодные для определенного использования, риск выхода борта шины из обода или даже невозможность установить шину и поддерживать давление в бескамерных шинах.
Что нам делать? Просто проверьте следующие E.T.R.T.O. таблицы , определите размер своего обода и выберите правильную шину в соответствии с размерами, которые указаны как подходящие и безопасные и которые могут гарантировать соответствие.
Соединительные муфты с крючковым ободком в соответствии с E.T.R.T.O. стандарт
| Номинальная шина Ширина профиля | Внутренняя часть обода (крючок) одобрена E.T.R.T.O. | ||||||||
|---|---|---|---|---|---|---|---|---|---|
| 18 мм | 13С | ||||||||
| 20 мм | 13С | 14С | |||||||
| 23 мм | 13С | 14С | 15С | 16С | |||||
| 25 мм | 13С | 14С | 15С | 16С | 17С | ||||
| 28 мм | 15С | 16С | 17С | 18К | 19С | ||||
| 30 мм | 15С | 16С | 17С | 18К | 19С | ||||
| 32 мм | 15С | 16С | 17С | 18К | 19С | 20С | |||
| 35 мм | 17С | 18К | 19С | 20С | 21С | 22С | |||
| 37 мм | 17С | 18К | 19С | 20С | 21С | 22С | 23С | ||
| 40 мм | 17С | 18К | 19С | 20С | 21С | 22С | 23С | ||
| 42 мм | 17С | 18К | 19С | 20С | 21С | 22С | 23С | 24С | |
| 44 мм | 17С | 18К | 19С | 20С | 21С | 22С | 23С | 24С | 25С |
После прочтения таблицы, например: «У меня обод с внутренней шириной 17 мм, производитель должен предоставить некоторые инструкции или на ободе должна быть следующая надпись:
622x17c означает, что диаметр посадки борта обода составляет 622 мм, а его внутренняя ширина составляет 17 мм, так какую шину безопаснее ставить на эти диски?
Если мы посмотрим на таблицу, мы можем установить клинчерную шину с диаметром обода 622 м и сечением 25 мм или 28 мм, на упаковке шины мы должны найти следующие инструкции: 622x25c или 622x28c, какие шины подходят в этом случае.
С другой стороны, например, мы можем столкнуться со следующим случаем: «У меня клинчерная шина 622x25c, и я не знаю, какой обод подойдет лучше и безопаснее; согласно E.T.R.T.O. таблице и принимая во внимание, что диаметр обода должен быть одинаковым (622 мм), я могу установить эту шину на обод с внутренней шириной 13c — 15c — 17c».
В этих двух примерах мы можем заметить, что клинчерная шина может безопасно устанавливаться более чем на один обод и наоборот, но самое главное — проверить диапазон размеров, гарантирующий подходящее соответствие согласно Е.Т.Р.Т.О. стандарты.
Диски без крючков, в чем смысл?
В настоящее время помимо ободьев с крюками (стандартные/с крюками) также доступны ободья без крюков (без крюков) , так как их проще изготовить, чем стандартные, для которых нужны крюки для бортов клинчерных шин.
Диски без крючков также упоминаются в E.T.R.T.O. стандартам , и вы можете найти правильное соответствие, сверившись со следующей таблицей.
После нескольких тестов мы можем сказать, что наши клинчерные шины TLR, благодаря бортам из Zylon, можно безопасно монтировать на обода без крюка , сверяясь со следующей таблицей:
Ободные муфты без крюка в соответствии с E.T.R.T.O. стандарт
| Номинальная шина Ширина профиля | Внутренняя часть обода (без крючков) одобрена E.T.R.T.O. | ||
|---|---|---|---|
| 18 мм | — | ||
| 20 мм | — | ||
| 23 мм | 16 | ||
| 25 мм | 16 | 18 | |
| 28 мм | 16 | 18 | 20 |
| 30 мм | 16 | 18 | 20 |
| 32 мм | 16 | 18 | 20 |
| 35 мм | 18 | 20 | 22 |
| 37 мм | 18 | 20 | 22 |
| 40 мм | 20 | 22 | 24 |
| 42 мм | 20 | 22 | 24 |
| 44 мм | 20 | 22 | 24 |
Даже в этом случае вы можете заметить, что некоторые шины совместимы с дисками большей ширины, и наоборот.
Должны ли мы мыслить нестандартно?Существуют крупные компании, которые производят как ободья, так и трубы, и, поскольку они оба разработаны одной и той же компанией, производитель может сказать, что они безопасны и пригодны для использования без соблюдения требований E.T.R.T.O. стандарты, такие как установка шины 28 мм на обод с внутренней шириной 25 мм. Согласно E.T.R.T.O. правил, это было бы неприемлемо, так как этот обод должен соответствовать шине, размер которой составляет 44 мм или более, и, помимо того факта, что он может или не может попасть под вилку вашего велосипеда, мы сомневаемся, что мы все еще можем говорить о шоссейных велосипедах. .
Так почему же это сопоставление все еще возможно? Потому что производитель как дисков, так и шин может гарантировать своим клиентам их подгонку.
Итак, если ваша 28-мм шина может быть установлена на этот обод, можем ли мы сделать то же самое с шинами Veloflex?
НЕТ! Поскольку мы не можем гарантировать никаких совпадений, кроме установленных E.T.R.T.O. стандарт.
Компании, производящие только велосипедные диски или шины, должны соблюдать требования E.T.R.T.O. Стандарты , так как было бы невозможно должным образом и тщательно протестировать каждый тип обода с каждой шиной, доступной на рынке.
Каждый день есть велосипедисты, которые используют негарантированное соответствие, и, к счастью, в большинстве случаев у них не возникает проблем, например, когда 25-миллиметровые шины устанавливаются на 19-миллиметровые диски (обратите внимание, что через пару лет такое соответствие, вероятно, будет введено). как безопасный по ETRTO, но до тех пор это не гарантируется).
Может быть больше людей, которые используют 25-миллиметровые шины на 19-миллиметровых дисках, чем тех, кто использует их на 17-миллиметровых дисках, но это не соответствует стандарту, даже если он становится все более распространенным из-за все большего и большего размера дисков, доступных на рынке.
Однако это может сработать для кого-то/моего друга или знакомого, но может не сработать для меня, так как E.T.R.T.O. устанавливает стандартные конкретные размеры с определенным допуском, поэтому, если мы сопоставляем большие допуски со строгими допусками, независимо от стандартных размеров, мы не сможем установить клинчер на обод (или с трудом установим его), или рискуем, что борт шины сойдет со своего места. сиденье через несколько километров или сразу.
В заключение несколько заключительных рекомендаций по безопасной езде на велосипеде…Установка наших шин (как и любых других производителей, соответствующих Е.Т.Р.Т.О. стандарт) на ободе, соответствие которому не найдено в таблице, осуществляется на свой страх и риск покупателя и в ущерб объектам и/или людям, поскольку такое соответствие не соответствует стандартам.
Если кто-то уже использовал определенный обод/шину, это не гарантирует, что он подойдет вам.
Запрашивание возможности установки нестандартного изделия также не гарантирует безопасность установки и использования, таблицы ясны специально для того, чтобы избежать недоразумений.
Чем больше мы удаляемся от стандартного соответствия обода/шины, тем выше риск и вероятность его возникновения.
Всегда проверяйте давление в шинах , чтобы убедиться, что оно соответствует правилам, установленным производителем шин и дисков, выбирая минимальное максимальное давление из двух рекомендуемых и сверяясь с предоставленными таблицами давления в шинах.
Техническое обслуживание и постоянный контроль над велосипедом — первый и самый важный шаг к поездке и отдыху.
Приятной поездки!
Объяснение размеров колес: что нужно знать о ваших дисках
Колеса, которые были установлены на вашем автомобиле, идеально подходят для подвески, коробки передач и кузова вашего автомобиля, что может повлиять на ходовые качества и характеристики автомобиля. Но это не означает, что на ваш автомобиль или грузовик нельзя установить разные колеса или диски. Чтобы понять, какие колеса подойдут для вашего автомобиля, мы рассмотрим размеры обода и некоторые основные размеры.
Зачем менять колеса
Есть много причин, по которым вы можете захотеть сменить диски. Может быть, вам нужен дополнительный комплект колес и шин для легкой установки каждую зиму, или вы ищете дополнительную производительность и управляемость. Возможно, вы даже стремитесь к определенному внешнему виду, включая гладкий и стильный или прочный и крутой. Какой бы ни была ваша причина, важно отметить, что неправильная настройка колеса может вызвать вибрацию или некоторое трение компонентов подвески или частей кузова автомобиля.
Совет Les Schwab: Прежде чем менять высоту боковины шины, ширину протектора или размер обода на своем автомобиле, сначала поговорите со специалистами. Мы поможем перевести разницу в оборотах в минуту, скорости шины, индексе нагрузки и номинальной скорости, а также то, как она будет или не будет соответствовать подвеске, трансмиссии и кузову вашего автомобиля.
Как определить размер шины и размер обода
Во-первых, начните с размера колес вашего автомобиля. Вы можете найти это на боковине шин ваших оригинальных колес или на внутренней раме двери водителя.Ознакомьтесь с пояснениями к размеру шин (Чтение боковины) для получения дополнительной информации.
Диаметр колеса (в дюймах или миллиметрах) — это пятый набор цифр и букв. Что означают цифры размера обода? Это число представляет собой расстояние между двумя посадочными местами борта, где шина плотно прилегает к колесу.
Размер колеса также включает его ширину и вылет. Ширина — это расстояние от каждого седла борта (изнутри наружу).Смещение определяет, как колесо и комплект шин выравниваются с колесной аркой.
Объяснение смещения и обратного пространства
Смещение — это то, насколько внутрь или наружу расположена монтажная поверхность по отношению к центральной линии колеса. Центральная линия рассчитывается путем простого деления колеса на две равные половины. У Les Schwab есть инструменты для точного измерения центральной линии.
Смещение — это то, насколько внутрь или наружу расположена монтажная поверхность по отношению к центральной линии колеса.
Вот как вылет определяет внешний вид ваших дисков. Если поверхность крепления ступицы находится перед центральной линией, ваши диски и шина будут втянуты внутрь. Это называется положительным смещением.
Если они находятся за центральной линией, ваши диски и шина будут выступать из кузова автомобиля. Это отрицательное смещение.
Совет Les Schwab: Измерить вылет на вашем автомобиле без снятия шины и колеса сложно.Проконсультируйтесь с профессионалами, чтобы получить правильную посадку.
Фундаментальная установка
Чтобы комплект дисков правильно подходил к вашему автомобилю, вам понадобится размер ступицы вашего легкового или грузового автомобиля, а также размер центрального отверстия колеса и количество колесных шпилек (а также расстояние между этими шпильками). У Les Schwab есть эти размеры для вашего автомобиля, включая разболтовку.
Расположение болтов на колесах
Большинство автомобилей поставляются с 4-, 5-, 6- или 8-проушинными проушинами.Эти схемы болтов, расположенные на определенном расстоянии друг от друга, помогают сузить выбор колеса или обода. Хотя подсчет количества болтов на вашем автомобиле важен перед покупкой комплекта дисков, очень важно, чтобы выбранные вами колеса соответствовали расстоянию между шпильками на вашем автомобиле.
Чтобы измерить шаблон с 4 выступами на наборе дисков, измерьте расстояние от центра двух отверстий друг напротив друга. Для шаблона с 5 проушинами измерьте расстояние от внешней стороны одного отверстия под шпильку колеса до центра противоположного. А для моделей с 6 и 8 проушинами измерьте расстояние от центра одного отверстия до центра отверстия под шпильку противоположного колеса.Вам понадобится это измерение в дюймах или миллиметрах, в зависимости от производителя колеса.
Помните, нет необходимости проводить эти измерения самостоятельно. Профессионалы Les Schwab делают это каждый день и могут гарантировать, что вы получите правильные диски для своего автомобиля.
Les Schwab носит нестандартные колеса
В Les Schwab мы гордимся своим опытом изготовления колес на заказ. Зайдите и спросите о новых колесах для вашего автомобиля. Мы покажем вам все ваши варианты, независимо от того, хотите ли вы изменить внешний вид, повысить производительность, новый комплект колес для зимних шин или просто заменить текущий комплект.
Найти магазин рядом с вами .

6 — 58,6 миллиметра.
6 эти параметры подбора абсолютно идентичны.
0
0
Советы по выбору
/Мин./Макс.
0
0
0
0
0
0
0








0″
3″
3 — 5,0″
13) Редкое канадское обозначение
S.) и горные велосипеды Schwinn.